Официальное опубликование правовых актов
ОФИЦИАЛЬНОЕ ОПУБЛИКОВАНИЕ
Приказ Министерства градостроительства и архитектуры Пензенской области от 15.11.2024 № 23-459
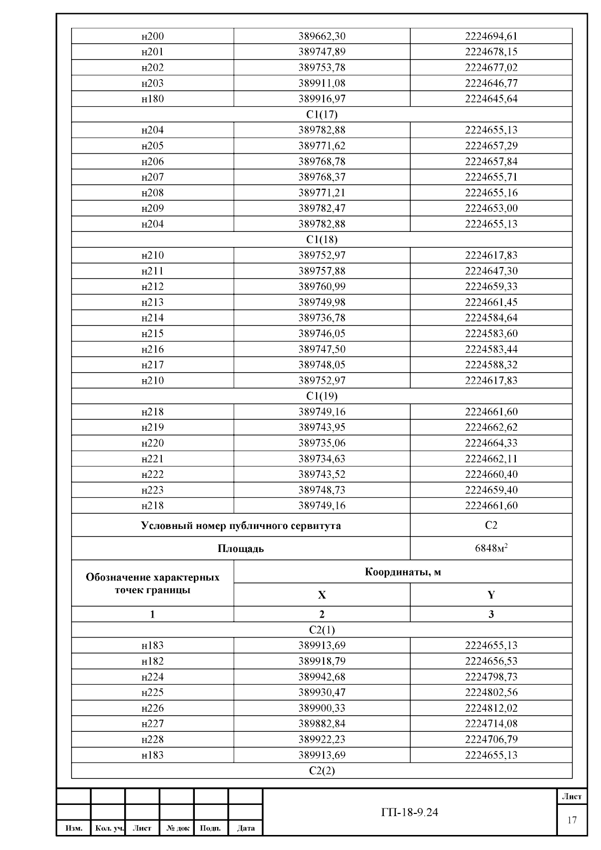
"Об утверждении проекта планировки территории линейного объекта: "Автомобильные дороги микрорайонов "Заря – 1", расположенных в районе ул. Героя России Сергеева г. Пенза"
(Зарегистрирован 15.11.2024 № 23-459)
Номер опубликования: 5801202411190002
Дата опубликования: 19.11.2024
Страница №107 из 112:
Увеличить