Официальное опубликование правовых актов
ОФИЦИАЛЬНОЕ ОПУБЛИКОВАНИЕ
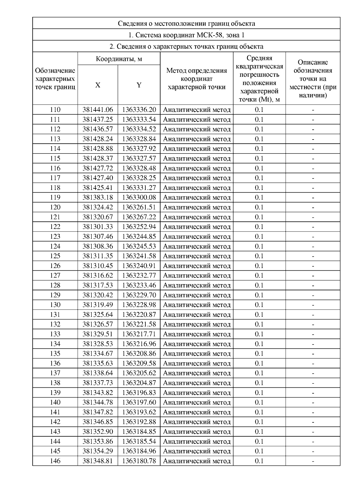
Приказ Министерства градостроительства и архитектуры Пензенской области от 06.11.2024 № 23-433
"Об утверждении границ охранной зоны существующего газопровода низкого давления, протяженностью 839 м, расположенного по адресу: Пензенская область, Каменский район, г. Каменка, от точек врезки на ул. Чернышевского по ул. Чернышевского 29-39, ул. Ворошилова 22, 26, 28, 34, и наложении ограничений (обременений) на входящие в нее земельные участки"
(Зарегистрирован 06.11.2024 № 23-433)
Номер опубликования: 5801202411110006
Дата опубликования: 11.11.2024
Страница №8 из 11:
Увеличить