Приказ Министерства градостроительства и архитектуры Пензенской области от 05.11.2024 № 23-432
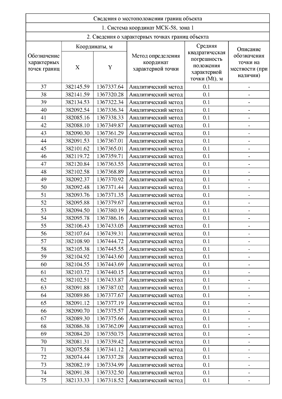
"Об утверждении границ охранной зоны существующего газопровода низкого давления, протяженностью 540 м, расположенного по адресу: Пензенская область, Каменский район, г. Каменка, от ГРПШ расположенного на территории "Кирпичного завода" по ул. Рабочая 39-53, 42-50, и наложении ограничений (обременений) на входящие в нее земельные участки"
(Зарегистрирован 05.11.2024 № 23-432)
"Об утверждении границ охранной зоны существующего газопровода низкого давления, протяженностью 540 м, расположенного по адресу: Пензенская область, Каменский район, г. Каменка, от ГРПШ расположенного на территории "Кирпичного завода" по ул. Рабочая 39-53, 42-50, и наложении ограничений (обременений) на входящие в нее земельные участки"
(Зарегистрирован 05.11.2024 № 23-432)
Номер опубликования: 5801202411110001
Дата опубликования:
11.11.2024
