Официальное опубликование правовых актов
ОФИЦИАЛЬНОЕ ОПУБЛИКОВАНИЕ
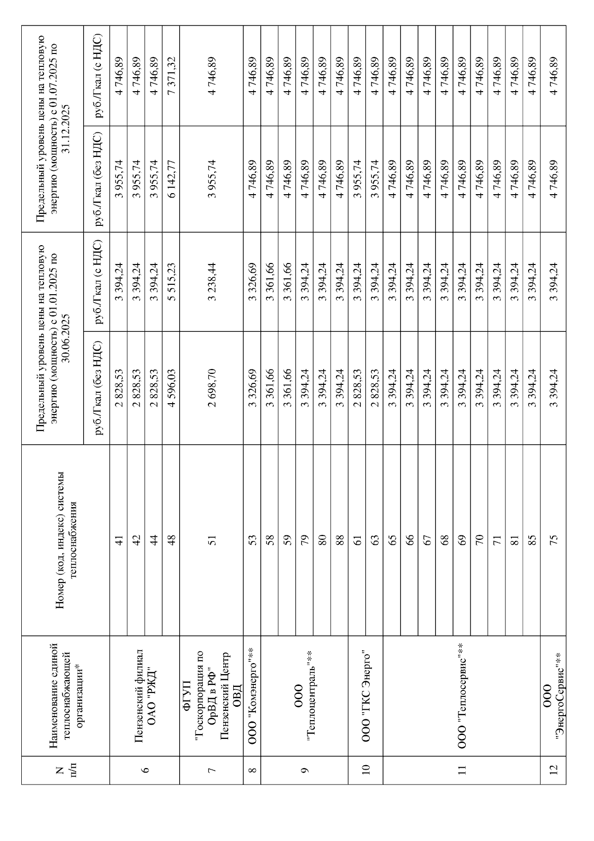
Приказ Министерства жилищно-коммунального хозяйства и гражданской защиты населения Пензенской области от 31.10.2024 № 26-73/ОД
"Об установлении предельного уровня цены на тепловую энергию (мощность) в муниципальном образовании "город Пенза" Пензенской области, отнесенном к ценовой зоне теплоснабжения, на 2025 год"
(Зарегистрирован 31.10.2024 № 26-73/ОД)
Номер опубликования: 5801202411020016
Дата опубликования: 02.11.2024
Страница №5 из 6:
Увеличить