Официальное опубликование правовых актов
ОФИЦИАЛЬНОЕ ОПУБЛИКОВАНИЕ
Приказ Министерства градостроительства и архитектуры Пензенской области от 03.10.2024 № 23-395
"О внесении изменений в Генеральный план муниципального образования Воскресеновский сельсовет Пензенского района Пензенской области"
(Зарегистрирован 03.10.2024 № 23-395)
Номер опубликования: 5801202410040006
Дата опубликования: 04.10.2024
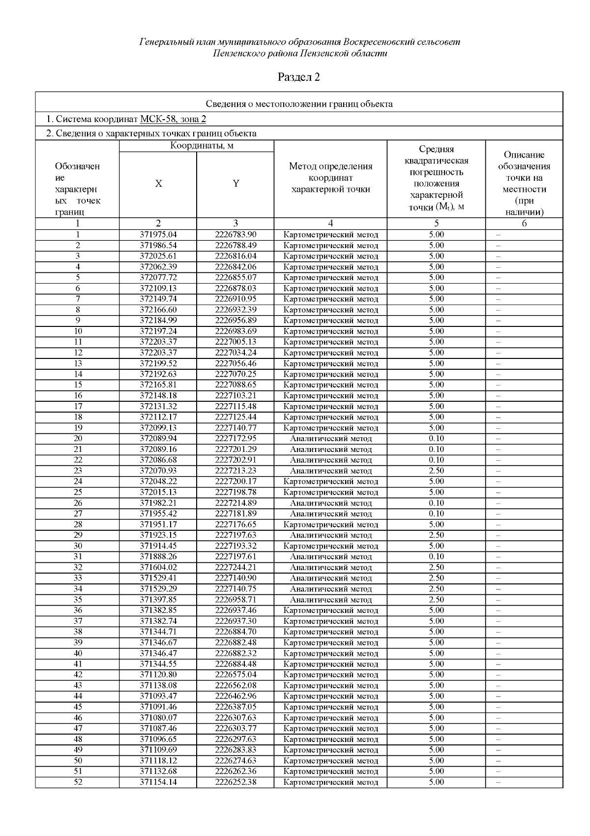
Страница №31 из 41:
Увеличить