Официальное опубликование правовых актов
ОФИЦИАЛЬНОЕ ОПУБЛИКОВАНИЕ
Приказ Министерства градостроительства и архитектуры Пензенской области от 06.08.2024 № 23-301
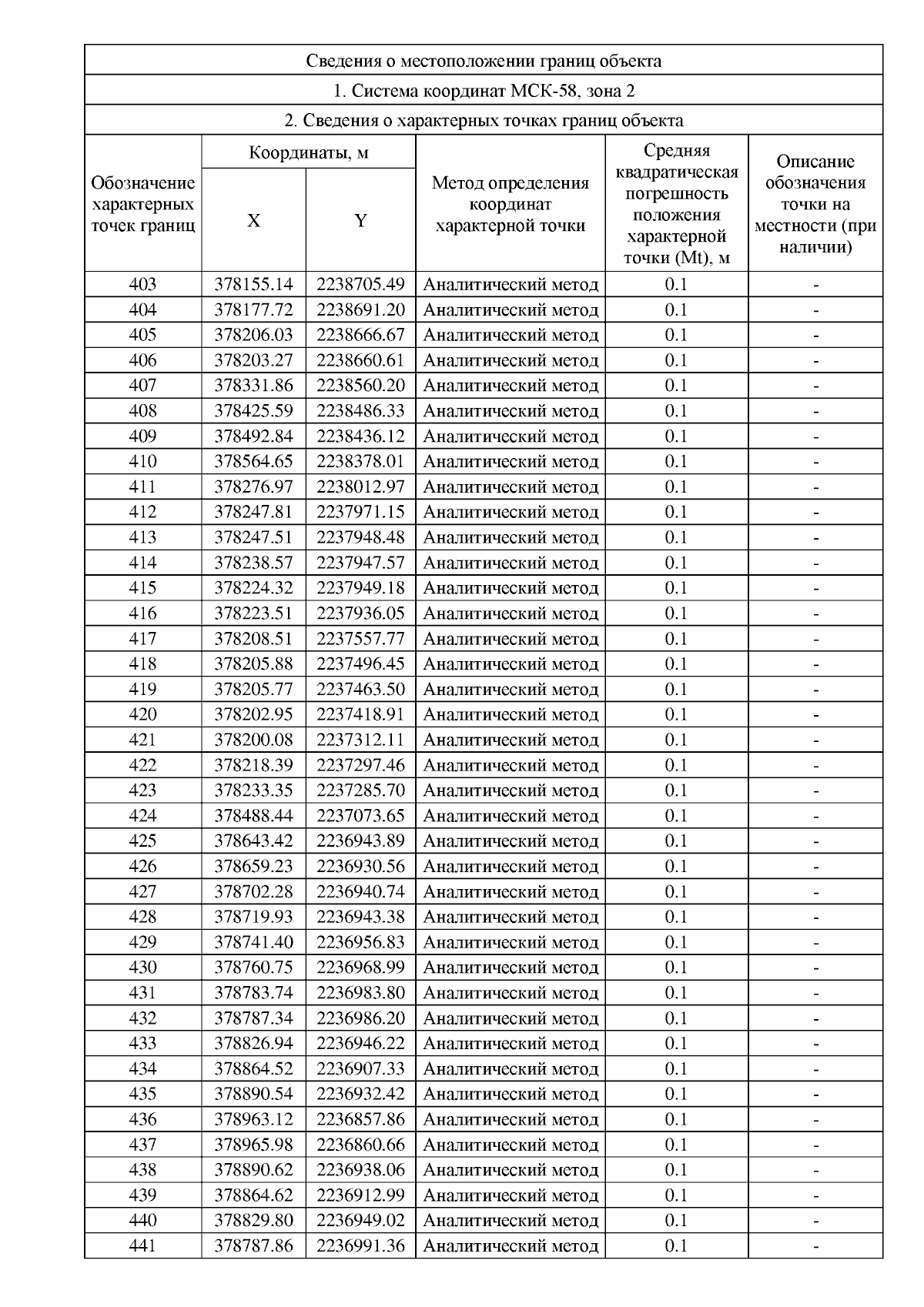
"О признании утратившим силу приказа Министерства строительства и жилищно-коммунального хозяйства Пензенской области от 28.10.2015 № 505/ОД "Об утверждении границ охранных зон существующего газопровода, протяженностью 13503 м, расположенного по адресу: Пензенская область, г. Пенза, и наложении ограничений (обременений) на входящие в них земельные участки" и об утверждении границ охранной зоны существующей внутриквартальной сети газоснабжения, протяженностью 13558 м, расположенной по адресу: Пензенская область, г. Пенза, и наложении ограничений (обременений) на входящие в нее земельные участки"
(Зарегистрирован 06.08.2024 № 23-301)
Номер опубликования: 5801202408090008
Дата опубликования: 09.08.2024
Страница №16 из 23:
Увеличить