Официальное опубликование правовых актов
ОФИЦИАЛЬНОЕ ОПУБЛИКОВАНИЕ
Приказ Министерства градостроительства и архитектуры Пензенской области от 26.07.2024 № 23-288
"О внесении изменений в Правила землепользования и застройки муниципального образования Подгорненский сельсовет Мокшанского района Пензенской области, утвержденные постановлением администрации Подгорненского сельсовета Мокшанского района Пензенской области от 24.11.2021 № 94"
(Зарегистрирован 26.07.2024 № 23-288)
Номер опубликования: 5801202407300003
Дата опубликования: 30.07.2024
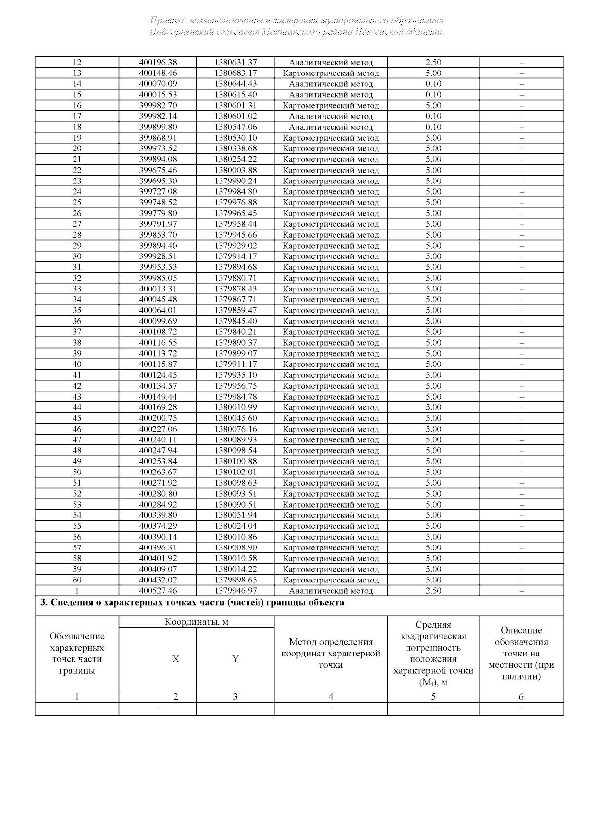
Страница №96 из 168:
Увеличить