Официальное опубликование правовых актов
ОФИЦИАЛЬНОЕ ОПУБЛИКОВАНИЕ
Приказ Министерства градостроительства и архитектуры Пензенской области от 13.06.2024 № 23-260
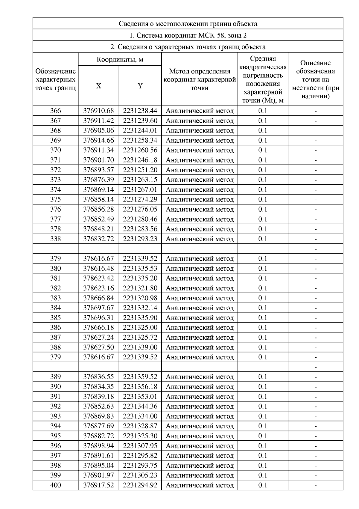
"О признании утратившим силу приказа Департамента градостроительства и архитектуры Пензенской области от 14.09.2021 № 126/ОД и об утверждении границ охранной зоны существующей внутриквартальной сети газоснабжения, протяженностью 5036 м, расположенной по адресу: Пензенская область, г. Пенза, Пензенский район, с. Засечное, и наложении ограничений (обременений) на входящие в нее земельные участки"
(Зарегистрирован 13.06.2024 № 23-260)
Номер опубликования: 5801202406180013
Дата опубликования: 18.06.2024
Страница №16 из 22:
Увеличить