Приказ Министерства градостроительства и архитектуры Пензенской области от 14.06.2024 № 23-266
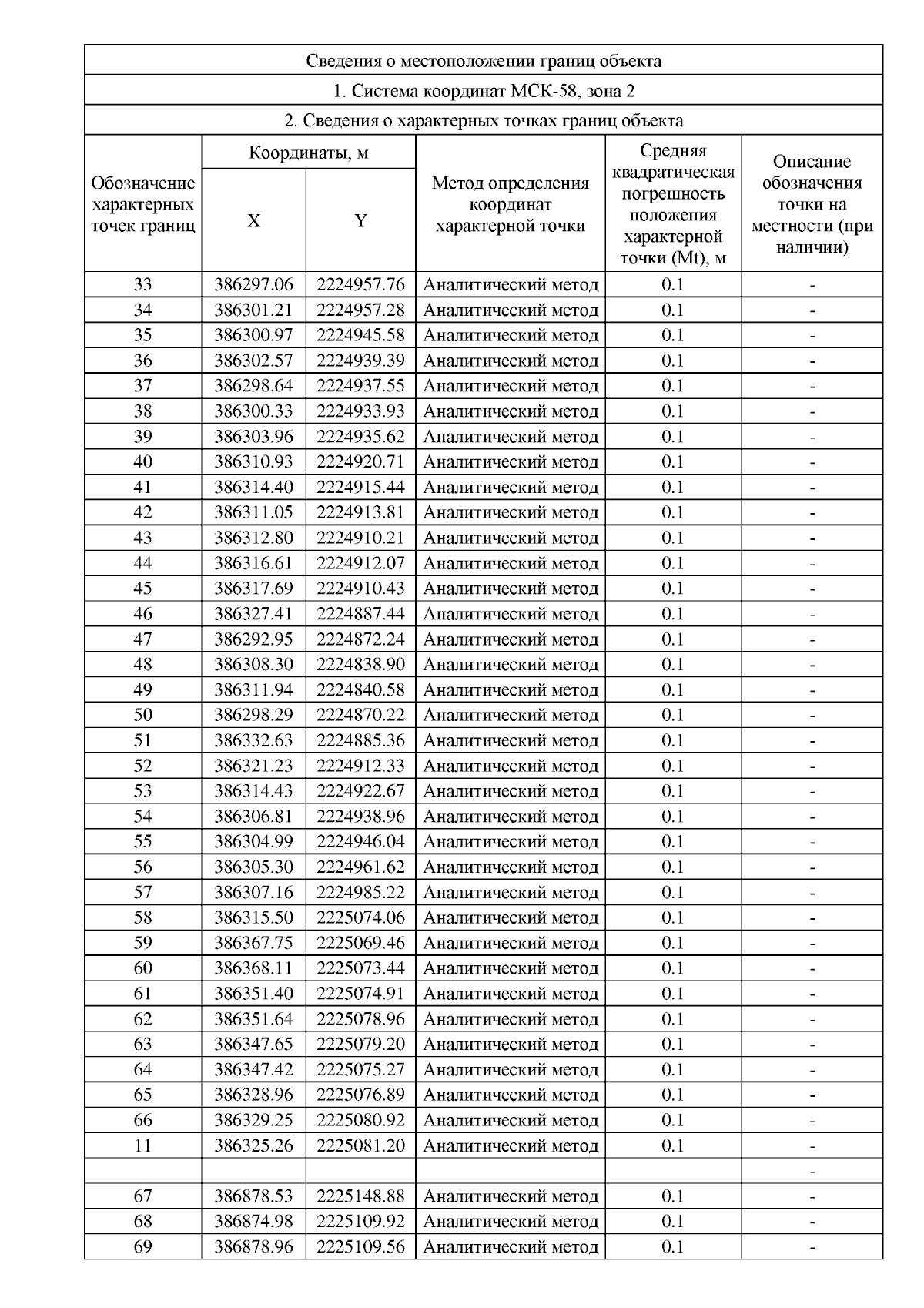
"О признании утратившим силу приказа Министерства строительства и жилищно-коммунального хозяйства Пензенской области от 06.10.2015 № 393/ОД "Об утверждении границ охранных зон существующего газопровода протяженностью 3435 м, расположенного по адресу: Пензенская область, г. Пенза, и наложении ограничений (обременений) на входящие в них земельные участки" и об утверждении границ охранной зоны существующей внутриквартальной сети газоснабжения, протяженностью 3523 м, расположенной по адресу: Пензенская область, город Пенза, и наложении ограничений (обременений) на входящие в нее земельные участки"
(Зарегистрирован 14.06.2024 № 23-266)
"О признании утратившим силу приказа Министерства строительства и жилищно-коммунального хозяйства Пензенской области от 06.10.2015 № 393/ОД "Об утверждении границ охранных зон существующего газопровода протяженностью 3435 м, расположенного по адресу: Пензенская область, г. Пенза, и наложении ограничений (обременений) на входящие в них земельные участки" и об утверждении границ охранной зоны существующей внутриквартальной сети газоснабжения, протяженностью 3523 м, расположенной по адресу: Пензенская область, город Пенза, и наложении ограничений (обременений) на входящие в нее земельные участки"
(Зарегистрирован 14.06.2024 № 23-266)
Номер опубликования: 5801202406180012
Дата опубликования:
18.06.2024
