Официальное опубликование правовых актов
ОФИЦИАЛЬНОЕ ОПУБЛИКОВАНИЕ
Приказ Министерства градостроительства и архитектуры Пензенской области от 14.06.2024 № 23-265
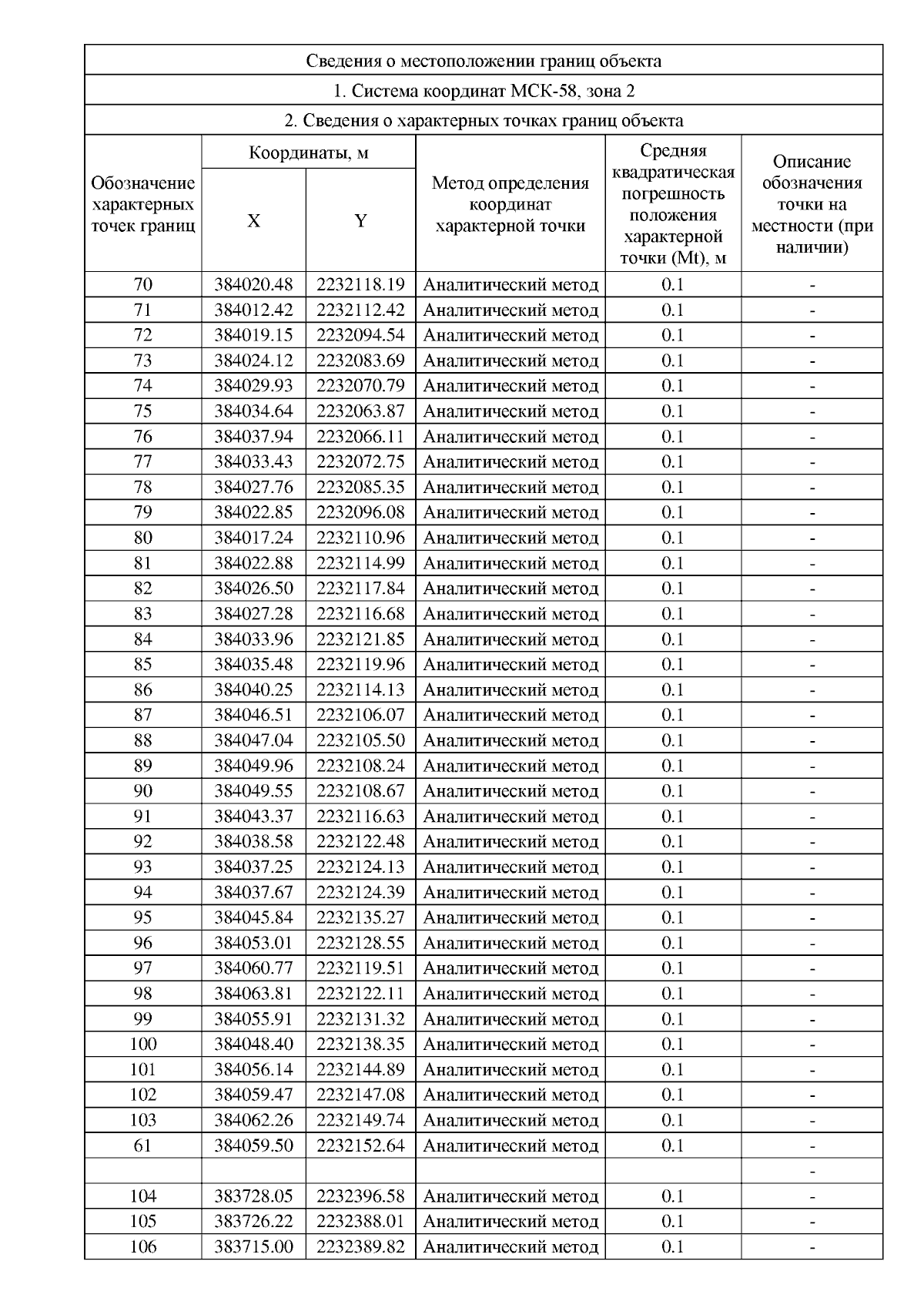
"О признании утратившим силу приказа Министерства строительства и жилищно-коммунального хозяйства Пензенской области от 06.10.2015 № 385/ОД "Об утверждении границ охранных зон существующего газопровода, протяженностью 894 м, расположенного по адресу: Пензенская область, г. Пенза, и наложении ограничений (обременений) на входящие в них земельные участки" и об утверждении границ охранной зоны существующей внутриквартальной сети газоснабжения, протяженностью 894 м, расположенной по адресу: Пензенская обл., г. Пенза, ул. Чаадаева, ул. Озерная, пр. Буровой, ул. Проходная, пр. Подгорный 1-й, ул. Ушакова, пер. Буровой, и наложении ограничений (обременений) на входящие в нее земельные участки"
(Зарегистрирован 14.06.2024 № 23-265)
Номер опубликования: 5801202406180008
Дата опубликования: 18.06.2024
Страница №7 из 9:
Увеличить