Официальное опубликование правовых актов
ОФИЦИАЛЬНОЕ ОПУБЛИКОВАНИЕ
Приказ Министерства градостроительства и архитектуры Пензенской области от 14.06.2024 № 23-263
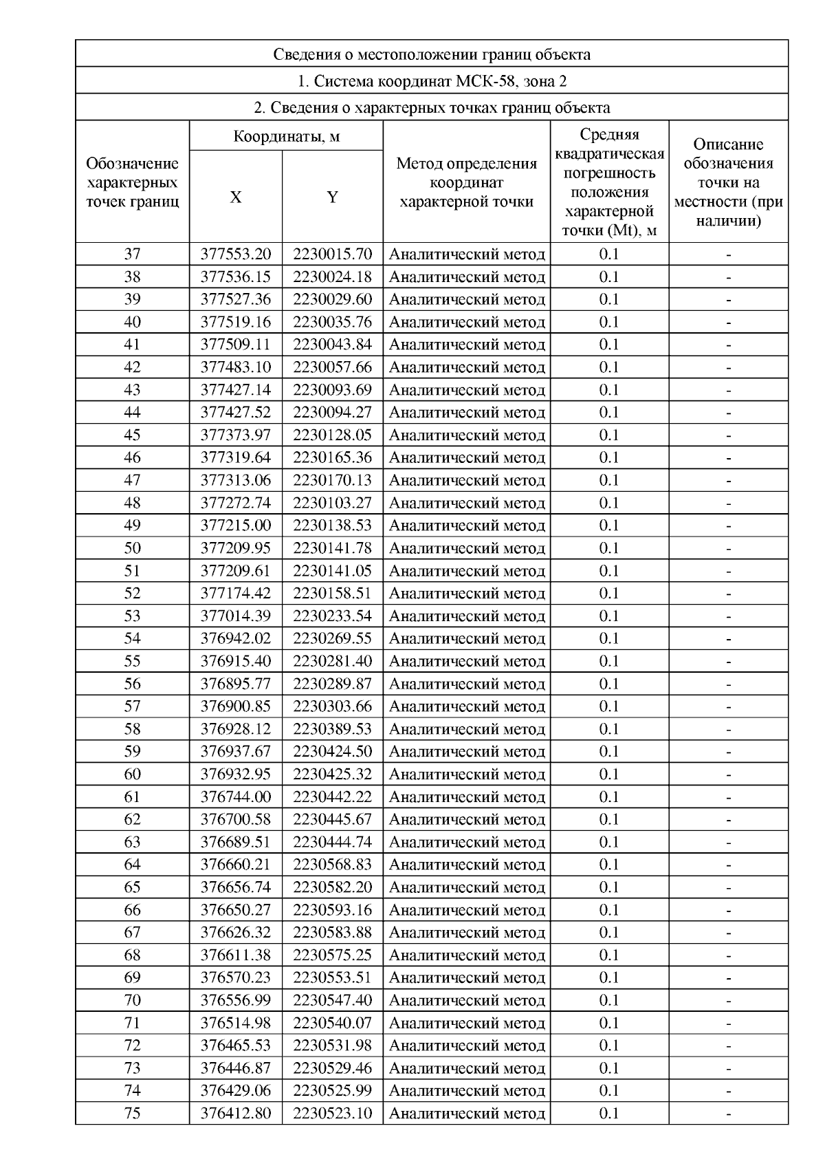
"О признании утратившим силу приказа Министерства градостроительства и архитектуры Пензенской области от 20.10.2023 № 23-221 и об утверждении границ охранной зоны существующего сооружения – газопровода среднего давления, протяженностью 4379 м, расположенного по адресу: Пензенская область, г. Пенза, ул. Маркина, и наложении ограничений (обременений) на входящие в нее земельные участки"
(Зарегистрирован 14.06.2024 № 23-263)
Номер опубликования: 5801202406180006
Дата опубликования: 18.06.2024
Страница №7 из 12:
Увеличить