Официальное опубликование правовых актов
ОФИЦИАЛЬНОЕ ОПУБЛИКОВАНИЕ
Приказ Министерства градостроительства и архитектуры Пензенской области от 07.06.2024 № 23-246
"О внесении изменений в Правила землепользования и застройки муниципального образования Алферьевский сельсовет Пензенского района Пензенской области"
(Зарегистрирован 07.06.2024 № 23-246)
Номер опубликования: 5801202406100005
Дата опубликования: 10.06.2024
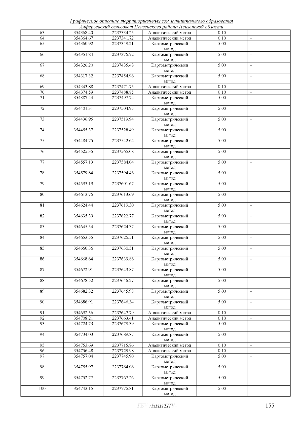
Страница №158 из 308:
Увеличить