Официальное опубликование правовых актов
ОФИЦИАЛЬНОЕ ОПУБЛИКОВАНИЕ
Приказ Министерства градостроительства и архитектуры Пензенской области от 10.04.2024 № 23-139
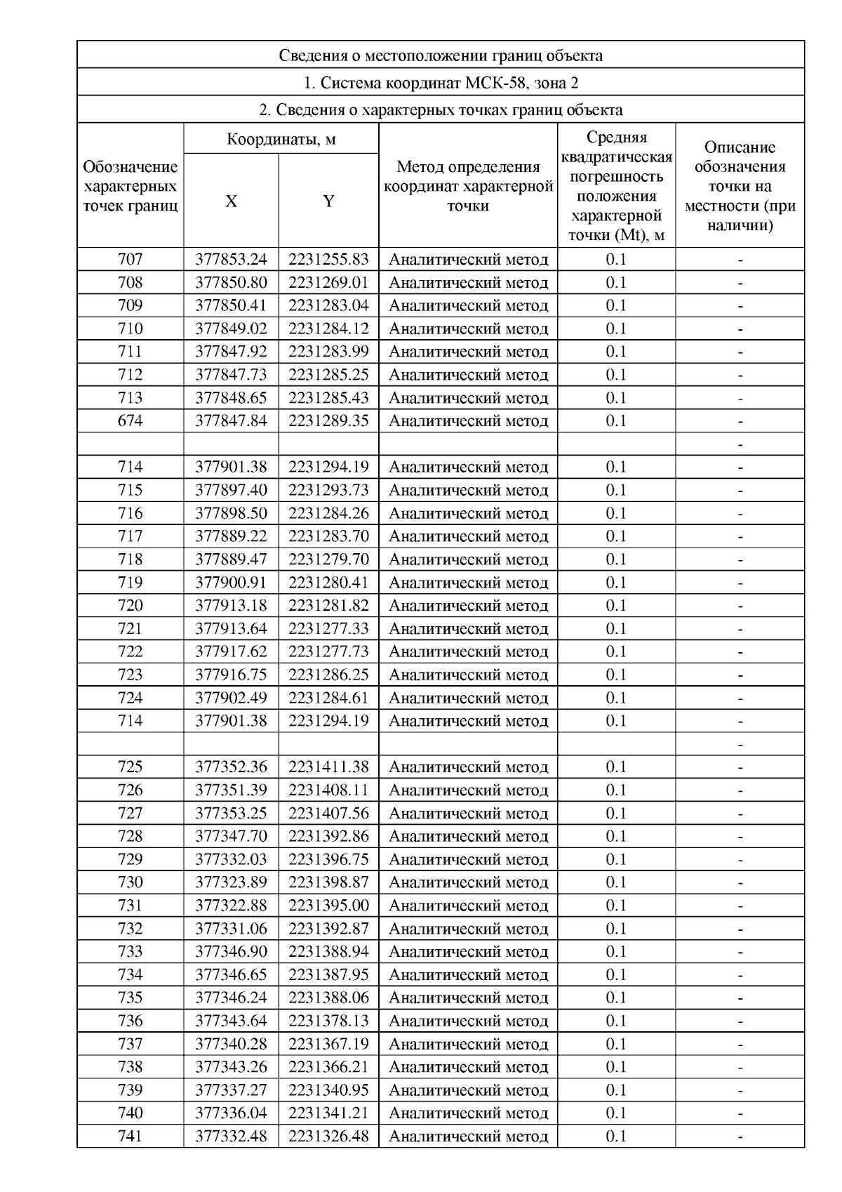
"О признании утратившим силу приказа Департамента градостроительства и архитектуры Пензенской области от 31.07.2020 № 147/ОД и об утверждении границ охранной зоны существующей внутриквартальной сети газоснабжения по ул. Галетная, ул. Терновского, ул. Павлика Морозова, ул. Экспериментальная г. Пензы, протяженностью 10832 м, расположенной по адресу: Пензенская обл., г. Пенза, и наложении ограничений (обременений) на входящие в нее земельные участки"
(Зарегистрирован 10.04.2024 № 23-129)
Номер опубликования: 5801202404120003
Дата опубликования: 12.04.2024
Страница №25 из 47:
Увеличить