Официальное опубликование правовых актов
ОФИЦИАЛЬНОЕ ОПУБЛИКОВАНИЕ
Приказ Министерства градостроительства и архитектуры Пензенской области от 28.03.2024 № 23-97
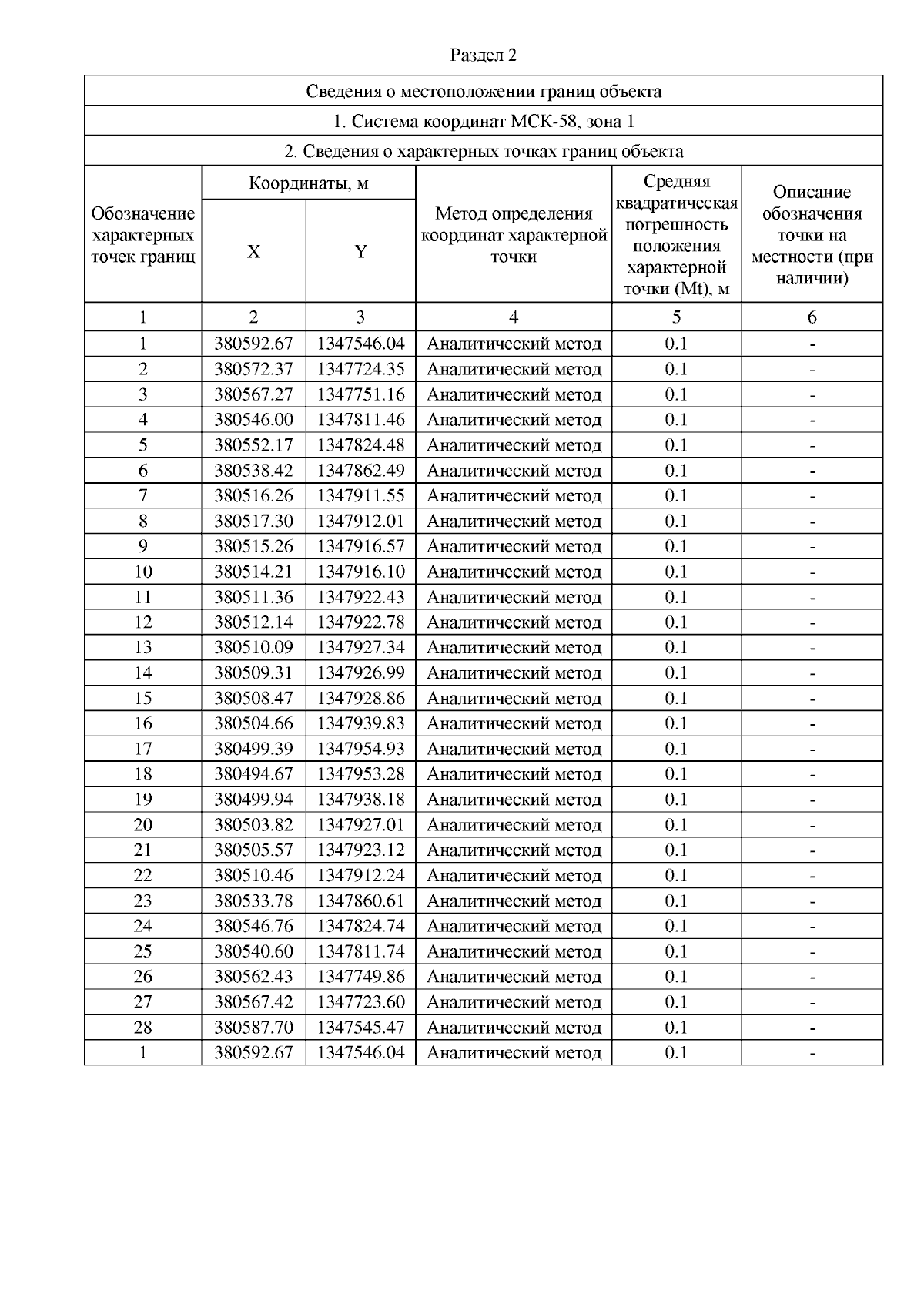
"Об утверждении границ охранной зоны существующего газопровода низкого давления, протяженностью 435 м, расположенного по адресу: Российская Федерация, Пензенская область, Каменский р-н, с. Кобылкино, ул. Лесная, и наложении ограничений (обременений) на входящие в нее земельные участки"
(Зарегистрирован 28.03.2024 № 23-97)
Номер опубликования: 5801202404010004
Дата опубликования: 01.04.2024
Страница №5 из 6:
Увеличить