Официальное опубликование правовых актов
ОФИЦИАЛЬНОЕ ОПУБЛИКОВАНИЕ
Приказ Министерства градостроительства и архитектуры Пензенской области от 01.03.2024 № 23-34
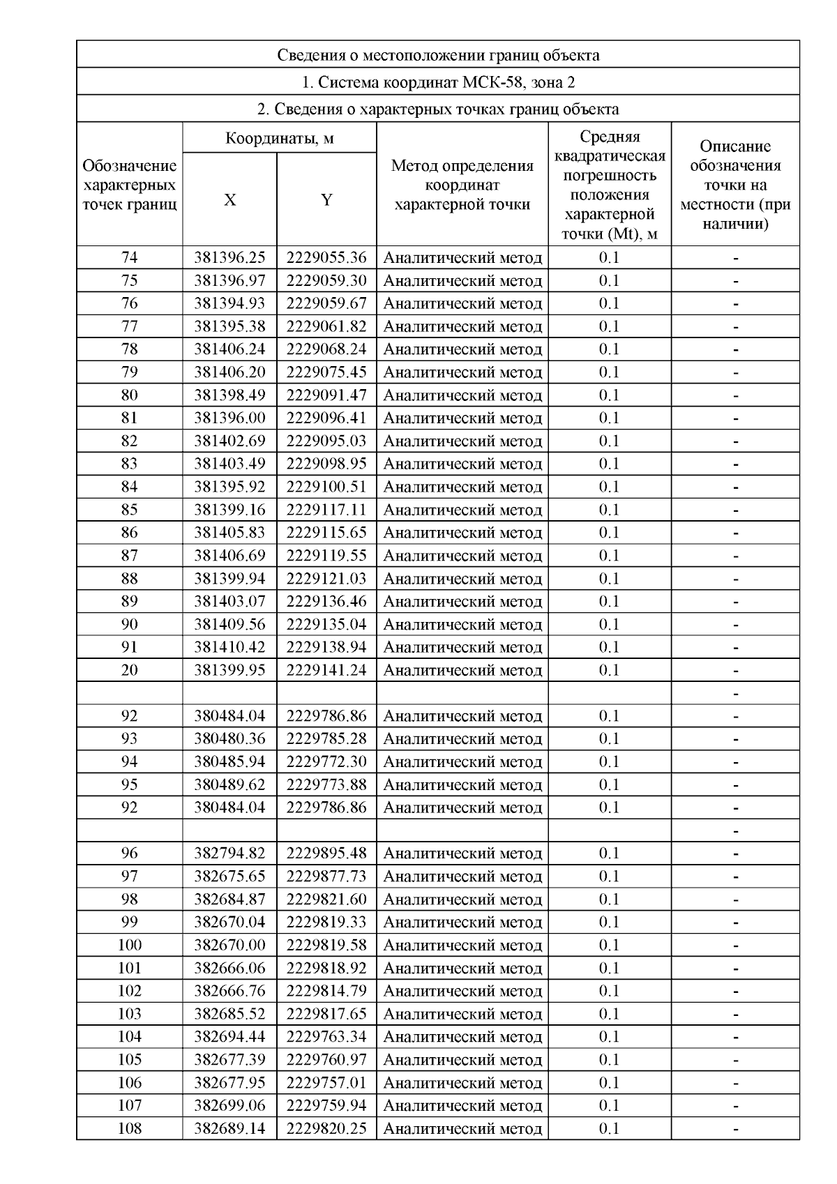
"О признании утратившим силу приказа Министерства строительства и жилищно-коммунального хозяйства Пензенской области от 28.10.2015 № 491/ОД "Об утверждении границ охранных зон существующего газопровода, протяженностью 2204 м, расположенного по адресу: Пензенская область, г. Пенза, и наложении ограничений (обременений) на входящие в них земельные участки" и об утверждении границ охранной зоны существующей внутриквартальной сети газоснабжения, протяженностью 2205 м, расположенной по адресу: Пензенская область, г. Пенза, ул. Краснова, ул. Лобачевского, ул. Калинина, пр. Лобачевского 2-й, ул. Красная, пер. Автоматный, ул. Попова, ул. Белинского, ул. Свердлова, пр. Оранжерейный 2-й, ул. Ватутина, ул. Новый Кавказ, ул. Гоголя, ул. Маршала Крылова, ул. Богданова, ул. Овражная, ул. Лермонтова, ул. Чкалова, и наложении ограничений (обременений) на входящие в нее земельные участки"
(Зарегистрирован 01.03.2024 № 23-34)
Номер опубликования: 5801202403060003
Дата опубликования: 06.03.2024
Страница №7 из 12:
Увеличить