Официальное опубликование правовых актов
ОФИЦИАЛЬНОЕ ОПУБЛИКОВАНИЕ
Приказ Министерства градостроительства и архитектуры Пензенской области от 27.02.2024 № 23-32
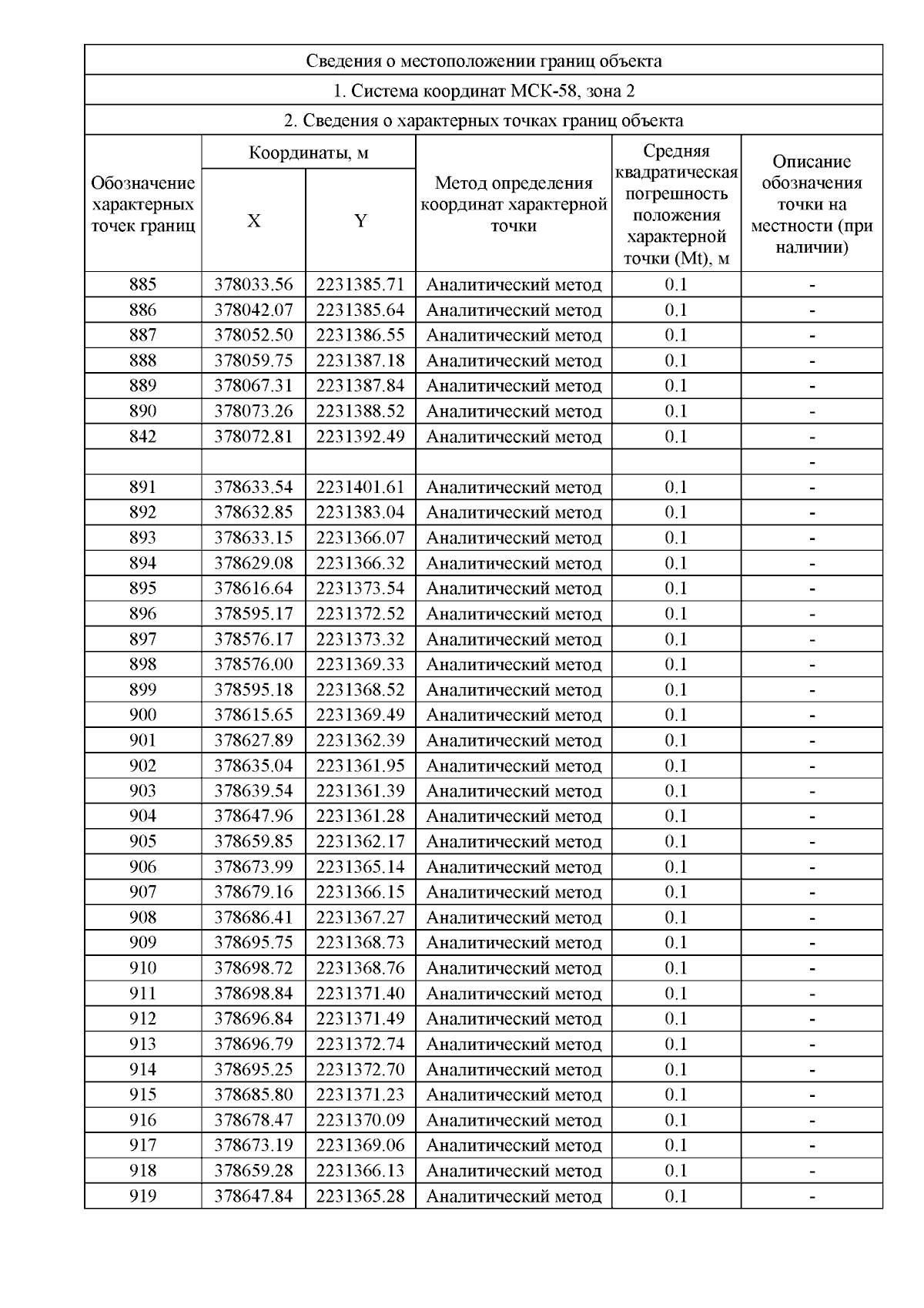
"О признании утратившим силу приказа Министерства строительства и жилищно-коммунального хозяйства Пензенской области от 28.10.2015 № 499/ОД "Об утверждении границ охранных зон существующего газопровода, протяженностью 8313 м, расположенного по адресу: Пензенская область, г. Пенза, и наложении ограничений (обременений) на входящие в них земельные участки" и об утверждении границ охранной зоны существующей внутриквартальной сети газоснабжения, протяженностью 6841 м, расположенной по адресу: Пензенская область, г. Пенза, ул. Пушкина, ул. Ставского, ул. Кулакова, ул. Максима Горького, ул. Долгова, ул. Бекешская, ул. Московская, ул. Транспортная, ул. Лермонтова, ул. Плеханова, ул. Сборная, ул. Бакунина, ул. Ключевского, ул. Локомотивная, ул. Тухачевского, ул. Балтийская, ул. Инсарская, ул. Заречная, ул. Коммунистическая, пр. Горочный, ул. Набережная реки Мойки, ул. Замойского, ул. Павлушкина, ул. Суворова, ул. Кураева, ул. Красная, ул. Спасо-Преображенская, пр. Объединенный 2-й, и наложении ограничений (обременений) на входящие в нее земельные участки"
(Зарегистрирован 27.02.2024 № 23-32)
Номер опубликования: 5801202402290007
Дата опубликования: 29.02.2024
Страница №32 из 43:
Увеличить