Официальное опубликование правовых актов
ОФИЦИАЛЬНОЕ ОПУБЛИКОВАНИЕ
Приказ Министерства градостроительства и архитектуры Пензенской области от 07.02.2024 № 23-9
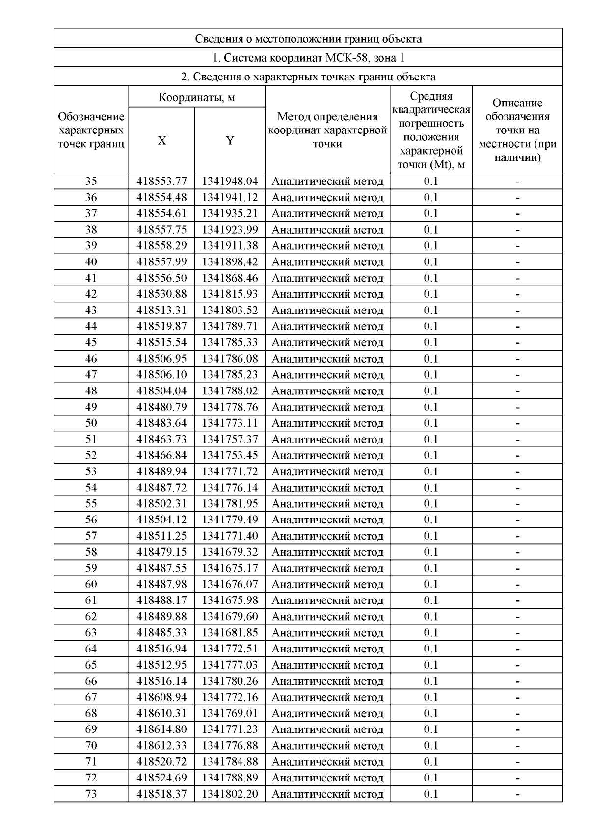
"О признании утратившим силу приказа Министерства строительства и жилищно-коммунального хозяйства Пензенской области от 15.12.2015 № 891/ОД "Об утверждении границ охранных зон существующего газопровода высокого давления протяженностью 1115 м, расположенного по адресу: Пензенская область, Нижнеломовский район, г. Нижний Ломов, ул. Красноармейская, и наложении ограничений (обременений) на входящие в них земельные участки" и об утверждении границ охранной зоны существующего газопровода высокого давления, протяженностью 1013 м, расположенного по адресу: Пензенская область, р-н Нижнеломовский, г. Нижний Ломов, ул. Красноармейская, и наложении ограничений (обременений) на входящие в нее земельные участки"
(Зарегистрирован 07.02.2024 № 23-9)
Номер опубликования: 5801202402120004
Дата опубликования: 12.02.2024
Страница №6 из 8:
Увеличить