Приказ Министерства по охране памятников истории и культуры Пензенской области от 13.12.2023 № 30-106
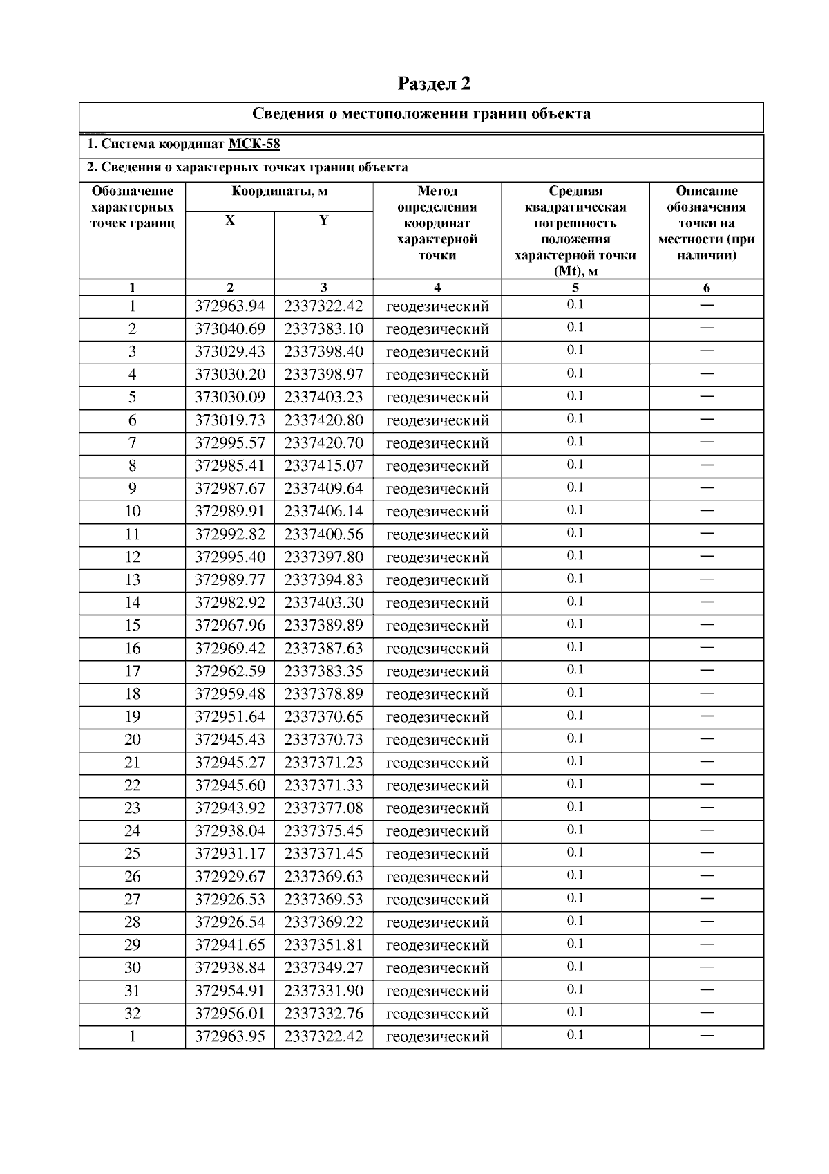
"О внесении изменения в Графическое описание местоположения границ зон охраны объекта культурного наследия регионального значения "Бывш. магазин купца Боброва" (Пензенская область, г. Кузнецк, ул. Кирова, 159), утвержденное приказом Министерства по охране памятников истории и культуры Пензенской области от 19.10.2023 № 30-80"
(Зарегистрирован 13.12.2023 № 30-106)
"О внесении изменения в Графическое описание местоположения границ зон охраны объекта культурного наследия регионального значения "Бывш. магазин купца Боброва" (Пензенская область, г. Кузнецк, ул. Кирова, 159), утвержденное приказом Министерства по охране памятников истории и культуры Пензенской области от 19.10.2023 № 30-80"
(Зарегистрирован 13.12.2023 № 30-106)
Номер опубликования: 5801202312130011
Дата опубликования:
13.12.2023
