Официальное опубликование правовых актов
ОФИЦИАЛЬНОЕ ОПУБЛИКОВАНИЕ
Приказ Министерства градостроительства и архитектуры Пензенской области от 01.12.2023 № 23-292
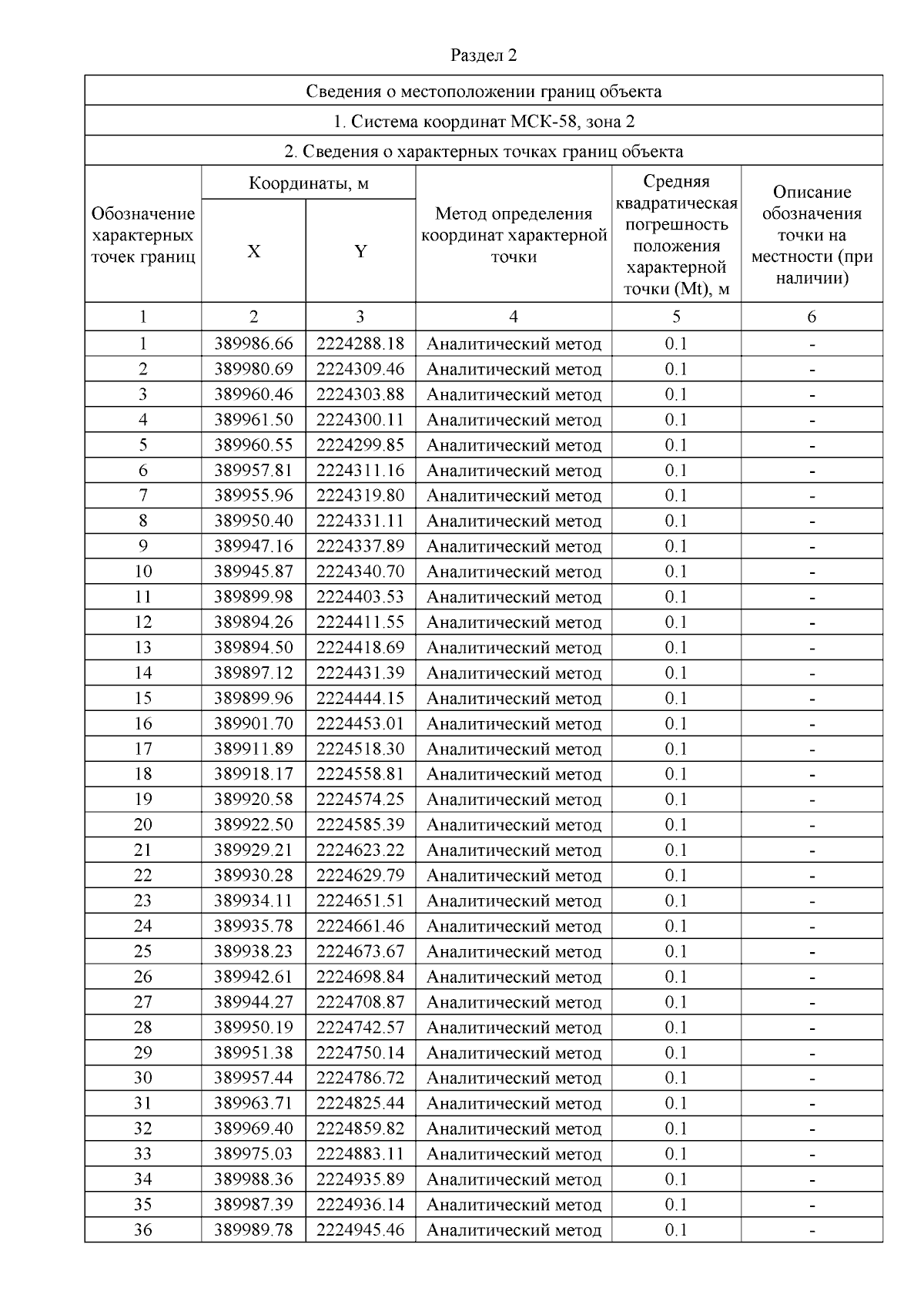
"Об утверждении границ охранной зоны существующего газопровода высокого давления от ГРС "Заря" до территории, ограниченной улицей Новоселов, прудом, существующей застройкой по 4-ому Садовому проезду, проектируемой дорогой севернее микрорайона №6 жилого района "Заря-1", протяженностью 716 м, расположенного по адресу: Пензенская область, г. Пенза, ул. Новоселов, и наложении ограничений (обременений) на входящие в нее земельные участки"
(Зарегистрирован 01.12.2023 № 23-292)
Номер опубликования: 5801202312040007
Дата опубликования: 04.12.2023
Страница №5 из 7:
Увеличить