Официальное опубликование правовых актов
ОФИЦИАЛЬНОЕ ОПУБЛИКОВАНИЕ
Приказ Министерства градостроительства и архитектуры Пензенской области от 01.12.2023 № 23-293
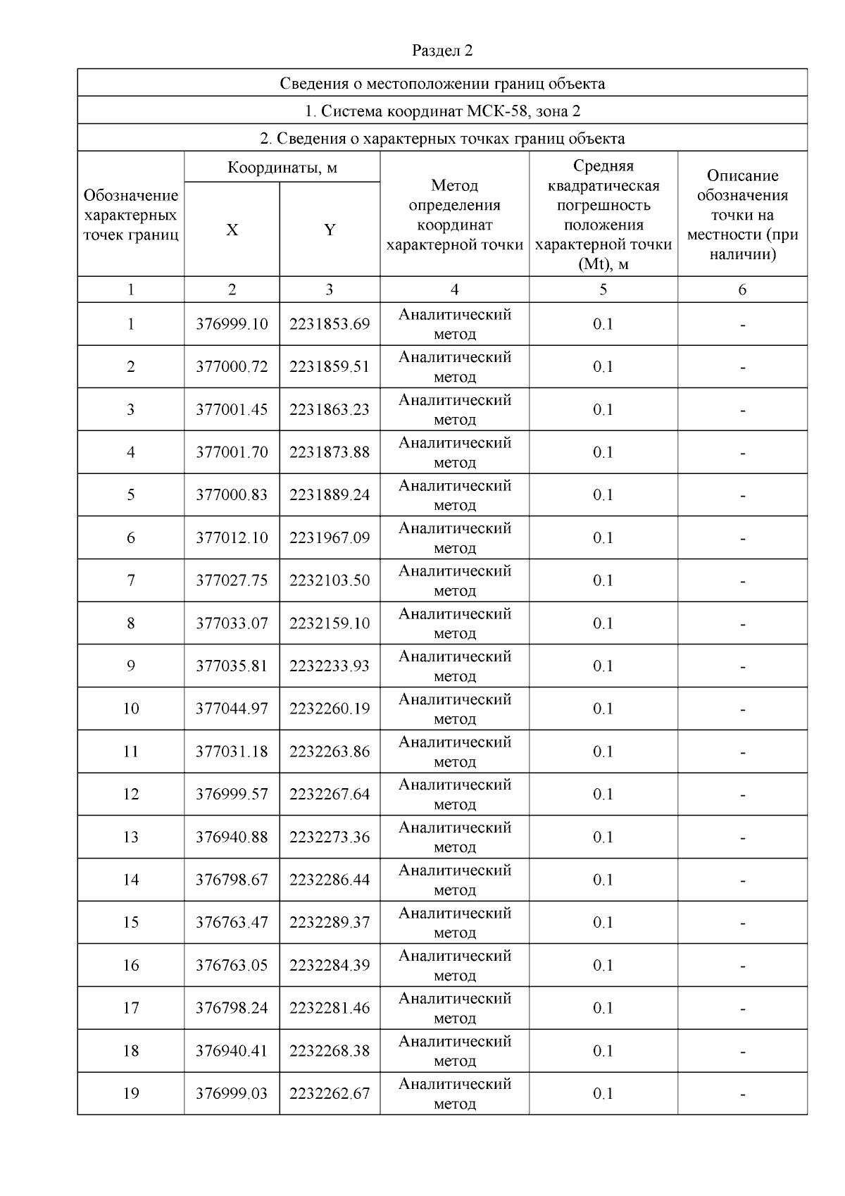
"Об утверждении границ охранной зоны существующего газопровода среднего давления, протяженностью 687 м, расположенного по адресу: Пензенская область, р-н Пензенский, с. Засечное, и наложении ограничений (обременений) на входящие в нее земельные участки"
(Зарегистрирован 01.12.2023 № 23-293)
Номер опубликования: 5801202312040006
Дата опубликования: 04.12.2023
Страница №5 из 7:
Увеличить