Официальное опубликование правовых актов
ОФИЦИАЛЬНОЕ ОПУБЛИКОВАНИЕ
Приказ Министерства градостроительства и архитектуры Пензенской области от 01.12.2023 № 23-291
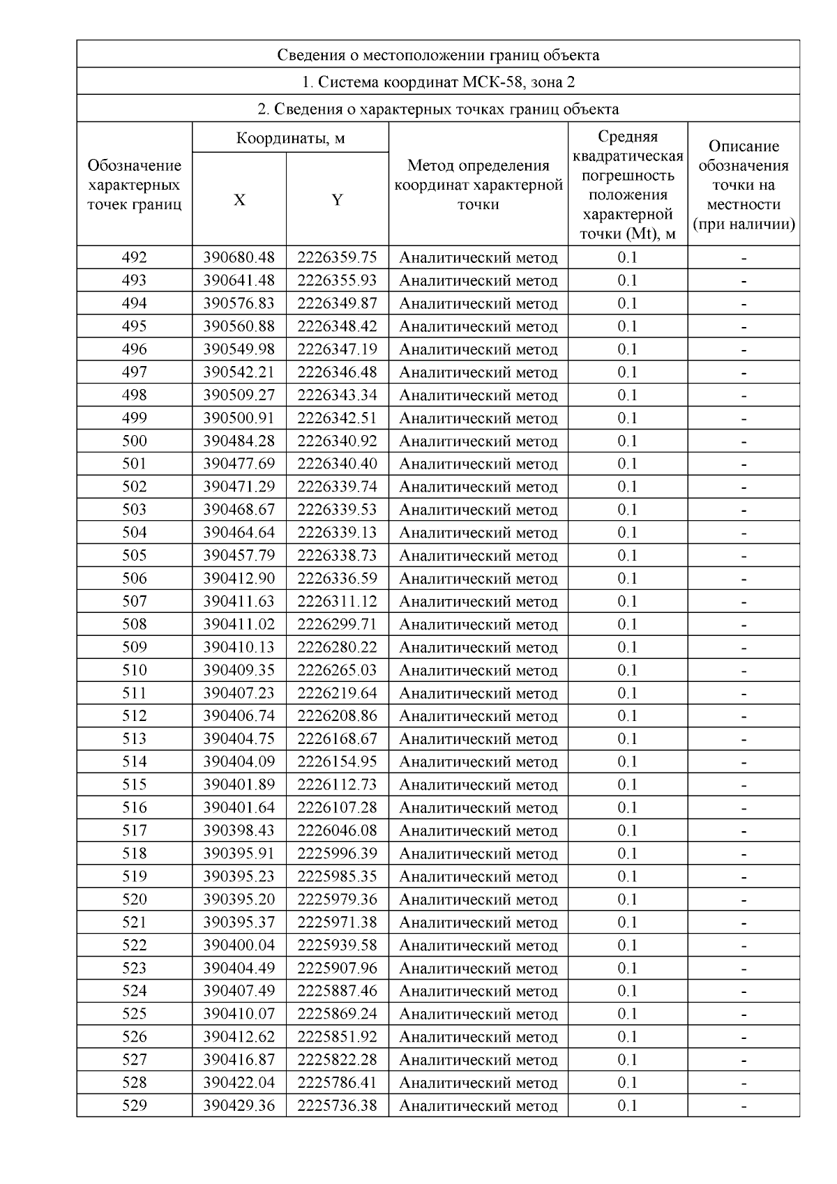
"Об утверждении границ охранной зоны существующих сетей газоснабжения низкого давления, протяженностью 5933 м, расположенных по адресу: Пензенская область, г. Пенза, п. Нефтяник, и наложении ограничений (обременений) на входящие в нее земельные участки"
(Зарегистрирован 01.12.2023 № 23-291)
Номер опубликования: 5801202312040005
Дата опубликования: 04.12.2023
Страница №18 из 20:
Увеличить