Официальное опубликование правовых актов
ОФИЦИАЛЬНОЕ ОПУБЛИКОВАНИЕ
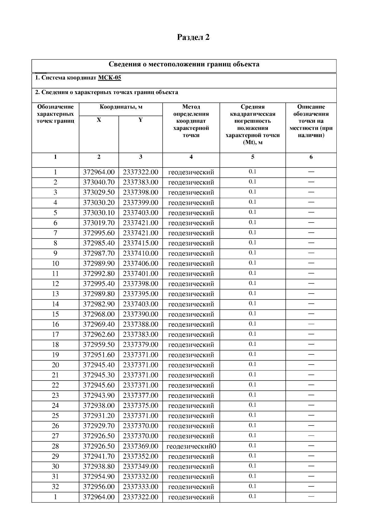
Приказ Министерства по охране памятников истории и культуры Пензенской области от 19.10.2023 № 30-80
"Об установлении зон охраны объекта культурного наследия регионального значения "Бывш. магазин купца Боброва" (Пензенская область, г. Кузнецк, ул. Кирова, 159) и утверждении требований к градостроительным регламентам в границах территории данных зон"
(Зарегистрирован 19.10.2023 № 30-80)
Номер опубликования: 5801202310230007
Дата опубликования: 23.10.2023
Страница №25 из 48:
Увеличить