Официальное опубликование правовых актов
ОФИЦИАЛЬНОЕ ОПУБЛИКОВАНИЕ
Приказ Министерства градостроительства и архитектуры Пензенской области от 20.10.2023 № 23-221
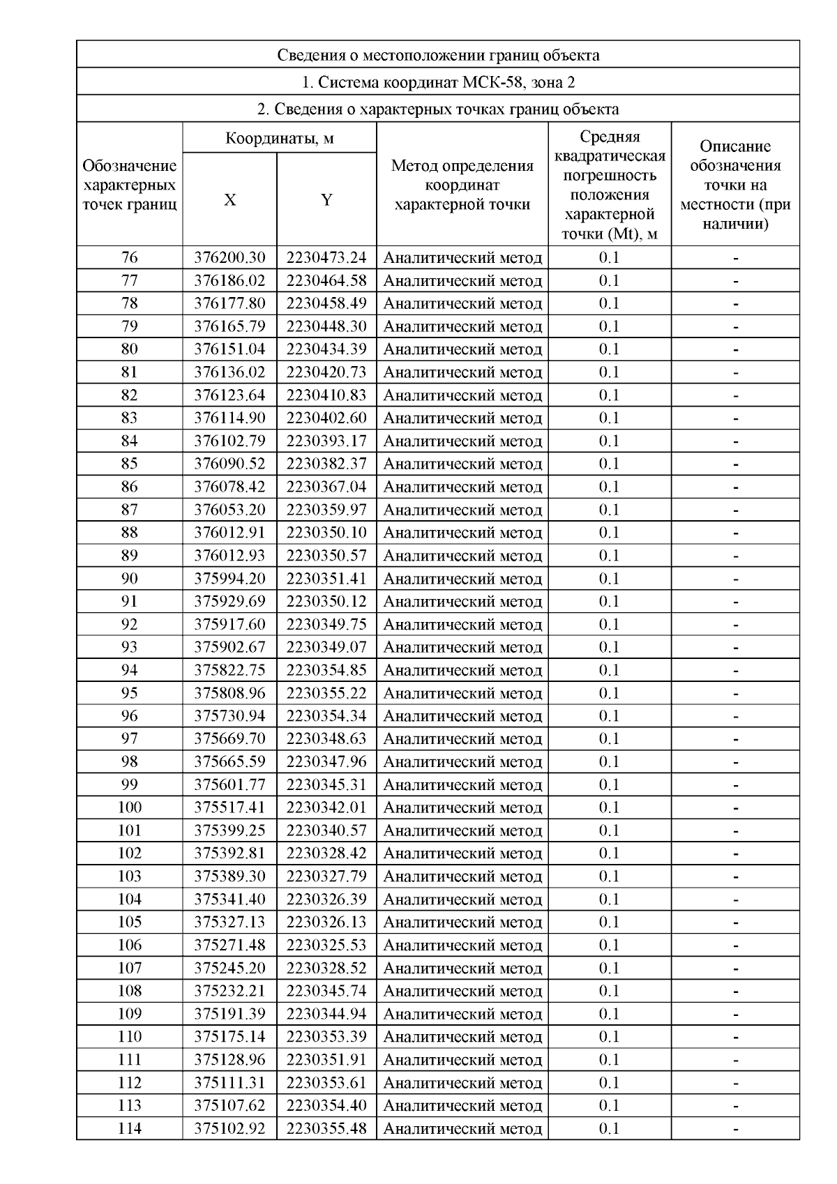
"О признании утратившим силу приказа Министерства строительства и жилищно-коммунального хозяйства Пензенской области от 12.08.2014 № 256/ОД "Об утверждении границ охранных зон существующего газопровода среднего давления, протяженностью 4280.6 м, расположенного по адресу: Пензенская область, г. Пенза и наложению ограничений (обременений) на входящие в них земельные участки" и об утверждении границ охранной зоны существующего сооружения (газопровод среднего давления по ул. Малышкина, ул. Суматовка, ул. Кутузова, ул. Ватутина, ул. Пушкари, ул. Коммунистическая от т.1 до т.2), протяженностью 4343 м, расположенного по адресу: Пензенская область, г. Пенза, ул. Маркина, и наложении ограничений (обременений) на входящие в нее земельные участки"
(Зарегистрирован 20.10.2023 № 23-221)
Номер опубликования: 5801202310230003
Дата опубликования: 23.10.2023
Страница №7 из 11:
Увеличить