Официальное опубликование правовых актов
ОФИЦИАЛЬНОЕ ОПУБЛИКОВАНИЕ
Приказ Министерства градостроительства и архитектуры Пензенской области от 19.07.2023 № 23-175
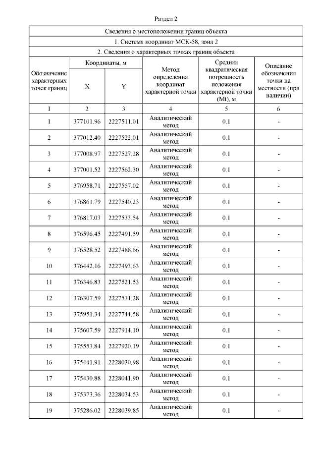
"О признании утратившим силу приказа Департамента градостроительства и архитектуры Пензенской области от 20.09.2019 № 97/ОД и об утверждении границ охранной зоны существующего газопровода в/д, протяженностью 3341 м, расположенного по адресу: г. Пенза, от ГРС в районе совхоза "Декоративные культуры" до котельной, и наложении ограничений (обременений) на входящие в нее земельные участки"
(Зарегистрирован 19.07.2023 № 23-175)
Номер опубликования: 5801202307240015
Дата опубликования: 24.07.2023
Страница №6 из 10:
Увеличить