Официальное опубликование правовых актов
ОФИЦИАЛЬНОЕ ОПУБЛИКОВАНИЕ
Приказ Министерства градостроительства и архитектуры Пензенской области от 19.07.2023 № 23-179
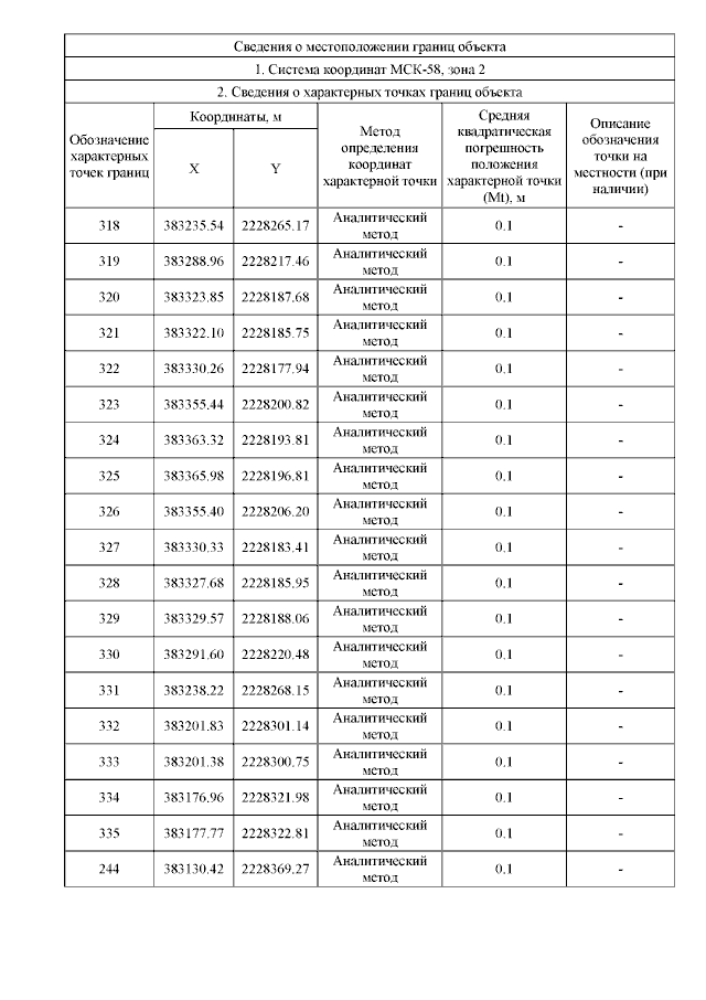
"О признании утратившим силу приказа Министерства строительства и жилищно-коммунального хозяйства Пензенской области от 29.12.2015 № 1477/ОД "Об утверждении границ охранных зон существующего газопровода низкого давления, протяженностью 4897 м, расположенного по адресу: Пензенская область, г. Пенза, и наложении ограничений (обременений) на входящие в них земельные участки" и об утверждении границ охранной зоны существующей внутриквартальной сети газоснабжения, протяженностью 4897 м, расположенной по адресу: Пензенская область, г. Пенза, и наложении ограничений (обременений) на входящие в нее земельные участки"
(Зарегистрирован 19.07.2023 № 23-179)
Номер опубликования: 5801202307240004
Дата опубликования: 24.07.2023
Страница №22 из 23:
Увеличить