Официальное опубликование правовых актов
ОФИЦИАЛЬНОЕ ОПУБЛИКОВАНИЕ
Приказ Министерства градостроительства и архитектуры Пензенской области от 12.07.2023 № 23-160
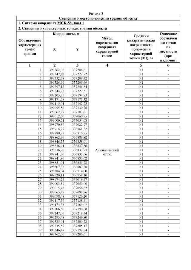
"Об утверждении границ охранной зоны существующего газопровода высокого и низкого давления, протяженностью 718 м, расположенного по адресу: Пензенская область, р-н Пачелмский, с. Мокрый Мичкасс, ул. Школьная и наложении ограничений (обременений) на входящие в нее земельные участки"
(Зарегистрирован 12.07.2023 № 23-160)
Номер опубликования: 5801202307130007
Дата опубликования: 13.07.2023
Страница №5 из 6:
Увеличить