Официальное опубликование правовых актов
ОФИЦИАЛЬНОЕ ОПУБЛИКОВАНИЕ
Приказ Министерства градостроительства и архитектуры Пензенской области от 25.05.2023 № 23-124
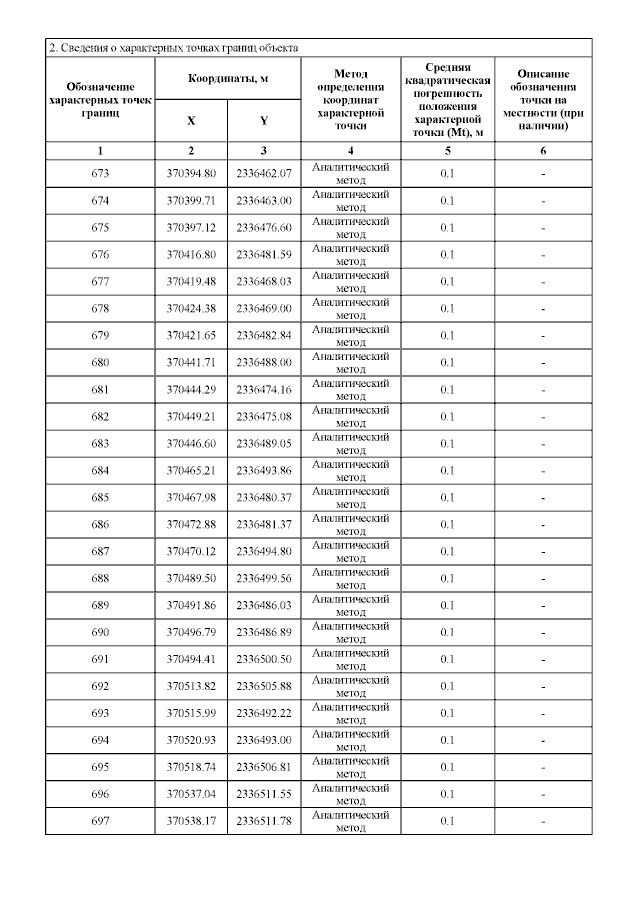
"Об утверждении границ охранной зоны существующего газопровода высокого и низкого давления микрорайона "Взлетный" в г. Кузнецке, Пензенской области 2-я очередь, протяженностью 5018 м, расположенного по адресу: Пензенская область, г. Кузнецк, ул. Абрамова, ул. Силаева, ул. им. Героя России Д. Яфарова, ул. Почивалина микрорайона "Взлетный" в южной части и наложении ограничений (обременений) на входящие в нее земельные участки"
(Зарегистрирован 25.05.2023 № 23-124)
Номер опубликования: 5801202305290003
Дата опубликования: 29.05.2023
Страница №32 из 36:
Увеличить