Официальное опубликование правовых актов
ОФИЦИАЛЬНОЕ ОПУБЛИКОВАНИЕ
Приказ Министерства градостроительства и архитектуры Пензенской области от 25.05.2023 № 23-123
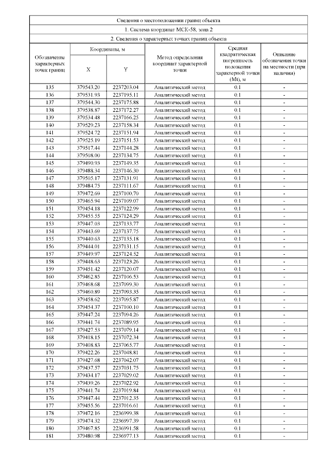
"О признании утратившим силу приказа Департамента градостроительства и архитектуры Пензенской области от 08.09.2021 № 97/ОД "О признании утратившим силу приказа Министерства строительства и жилищно-коммунального хозяйства Пензенской области от 13.08.2015 № 291/ОД "Об утверждении границ охранных зон существующего газопровода протяженностью 13081 м, расположенного по адресу: Пензенская область, г. Пенза, ул. Снайперская, ул. Санаторный порядок, ул. Питомниковая, ул. Коннозаводская, территория блокпост 720 км, и наложении ограничений (обременений) на входящие в них земельные участки", и об утверждении границ охранной зоны существующей внутриквартальной сети газоснабжения протяженностью 13040 м, расположенного по адресу: Пензенская область, г. Пенза, и наложении ограничений (обременений) на входящие в нее земельные участки" и об утверждении границ охранной зоны существующей внутриквартальной сети газоснабжения по ул. Снайперская, ул. Санаторный порядок, ул. Питомниковая, ул. Коннозаводская, территория Блокпост 720 км г. Пензы, протяженностью 12979 м, расположенной по адресу: Пензенская область, г. Пенза и наложении ограничений (обременений) на входящие в нее земельные участки"
(Зарегистрирован 25.05.2023 № 23-123)
Номер опубликования: 5801202305290002
Дата опубликования: 29.05.2023
Страница №8 из 34:
Увеличить