Официальное опубликование правовых актов
ОФИЦИАЛЬНОЕ ОПУБЛИКОВАНИЕ
Приказ Министерства по охране памятников истории и культуры Пензенской области от 18.05.2023 № 30-28
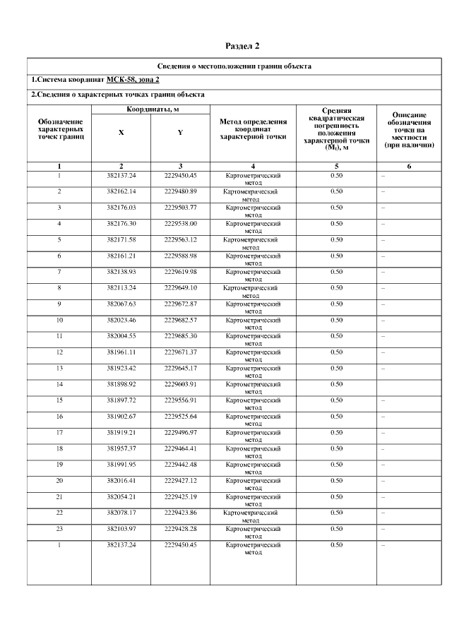
"О внесении изменения в графическое описание местоположения границ защитной зоны объекта культурного наследия регионального значения "Успенский кафедральный собор (Мироносицкая церковь) с интерьером", расположенного по адресу: Пензенская область, г. Пенза, Мироносицкое кладбище, утвержденное приказом Комитета Пензенской области по охране памятников истории и культуры от 27.11.2020 № 224-ОД"
(Зарегистрирован 18.05.2023 № 30-28)
Номер опубликования: 5801202305180016
Дата опубликования: 18.05.2023
Страница №4 из 10:
Увеличить