Официальное опубликование правовых актов
ОФИЦИАЛЬНОЕ ОПУБЛИКОВАНИЕ
Приказ Министерства по охране памятников истории и культуры Пензенской области от 18.05.2023 № 30-26
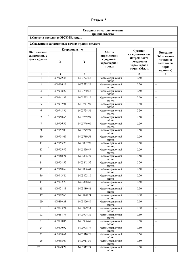
"О внесении изменения в графическое описание местоположения границ защитной зоны объекта культурного наследия регионального значения "Здание, где в 1942 г. был сформирован 719-й артиллерийский полк Резерва Главного Командования" по адресу: Пензенская область, Мокшанский район, р.п. Мокшан, ул. Садовая, д. 28, утвержденное приказом Комитета Пензенской области по охране памятников истории и культуры от 17.10.2018 № 86-ОД"
(Зарегистрирован 18.05.2023 № 30-26)
Номер опубликования: 5801202305180008
Дата опубликования: 18.05.2023
Страница №4 из 10:
Увеличить