Официальное опубликование правовых актов
ОФИЦИАЛЬНОЕ ОПУБЛИКОВАНИЕ
Приказ Министерства по охране памятников истории и культуры Пензенской области от 17.05.2023 № 30-24
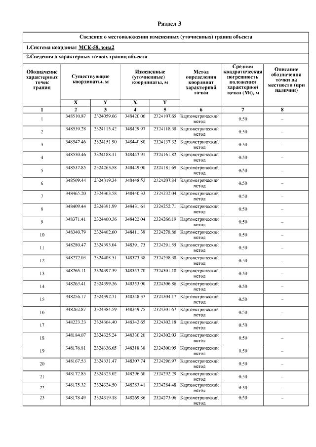
"О внесении изменения в графическое описание местоположения границ защитной зоны объекта культурного наследия регионального значения "Церковь Михаила Архангела (дерев.)" по адресу: Пензенская область, Неверкинский район, с. Кунчерово, утвержденное приказом Комитета Пензенской области по охране памятников истории и культуры от 23.12.2019 № 162-ОД"
(Зарегистрирован 17.05.2023 № 30-24)
Номер опубликования: 5801202305180004
Дата опубликования: 18.05.2023
Страница №5 из 7:
Увеличить