Официальное опубликование правовых актов
ОФИЦИАЛЬНОЕ ОПУБЛИКОВАНИЕ
Приказ Министерства по охране памятников истории и культуры Пензенской области от 17.05.2023 № 30-18
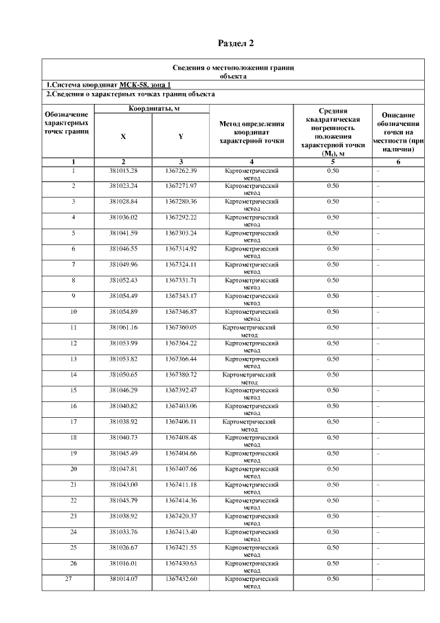
"О внесении изменения в графическое описание местоположения границ защитной зоны объекта культурного наследия регионального значения "Жилой дом (конец XIX в.)" по адресу: Пензенская область, Каменский район, г. Каменка, ул. Советская, д. 81, утвержденное приказом Комитета Пензенской области по охране памятников истории и культуры от 17.09.2019 № 80-ОД"
(Зарегистрирован 17.05.2023 № 30-18)
Номер опубликования: 5801202305170007
Дата опубликования: 17.05.2023
Страница №4 из 12:
Увеличить