Официальное опубликование правовых актов
ОФИЦИАЛЬНОЕ ОПУБЛИКОВАНИЕ
Приказ Министерства по охране памятников истории и культуры Пензенской области от 17.05.2023 № 30-19
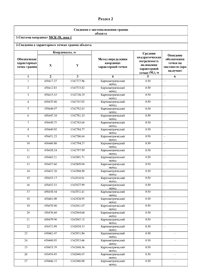
"О внесении изменения в графическое описание местоположения границ защитной зоны объекта культурного наследия регионального значения "Здание, где размещался I–ый уком РКСМ", расположенного по адресу: Пензенская область, Наровчатский район, с. Наровчат, ул. Ленина, 11, утвержденное приказом Комитета Пензенской области по охране памятников истории и культуры от 17.02.2020 № 50-ОД"
(Зарегистрирован 17.05.2023 № 30-19)
Номер опубликования: 5801202305170005
Дата опубликования: 17.05.2023
Страница №4 из 10:
Увеличить