Официальное опубликование правовых актов
ОФИЦИАЛЬНОЕ ОПУБЛИКОВАНИЕ
Приказ Министерства градостроительства и архитектуры Пензенской области от 03.05.2023 № 23-99
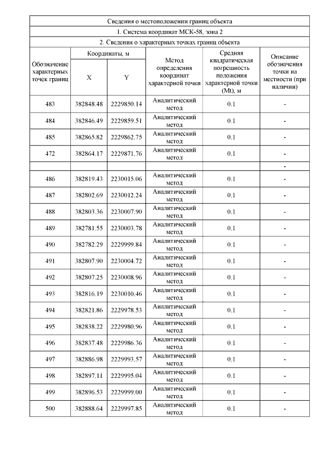
"О признании утратившим силу приказа Департамента градостроительства и архитектуры Пензенской области от 21.04.2020 № 85/ОД "О признании утратившим силу приказа Министерства строительства и жилищно-коммунального хозяйства Пензенской области от 28.10.2015 № 500/ОД "Об утверждении границ охранных зон существующего газопровода, протяженностью 9213 м, расположенного по адресу: Пензенская область, г. Пенза, и наложении ограничений (обременений) на входящие в них земельные участки" и об утверждении границ охранной зоны существующего газопровода протяженностью 9243 м, расположенного по адресу: Пензенская область, г. Пенза, и наложении ограничений (обременений) на входящие в нее земельные участки" и об утверждении границ охранной зоны существующей внутриквартальной сети газоснабжения, протяженностью 9307 м, расположенной по адресу: Пензенская область, г. Пенза и наложении ограничений (обременений) на входящие в нее земельные участки"
(Зарегистрирован 03.05.2023 № 23-99)
Номер опубликования: 5801202305040012
Дата опубликования: 04.05.2023
Страница №32 из 60:
Увеличить