Официальное опубликование правовых актов
ОФИЦИАЛЬНОЕ ОПУБЛИКОВАНИЕ
Приказ Министерства градостроительства и архитектуры Пензенской области от 03.05.2023 № 23-98
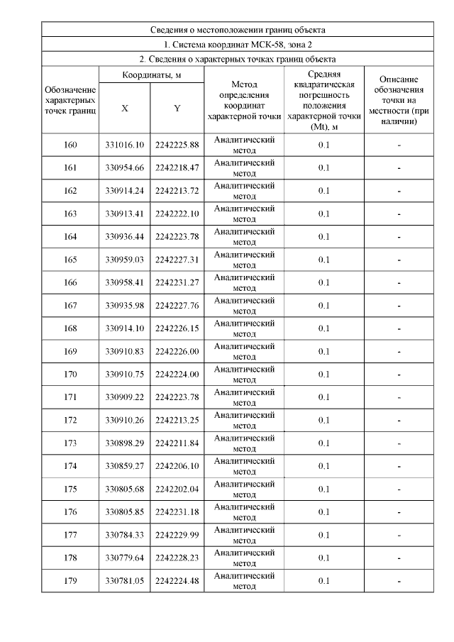
"Об утверждении границ охранной зоны существующего газопровода низкого давления, протяженностью 6004 м, расположенного по адресу: Пензенская область, Пензенский район, с. Волхонщино и наложении ограничений (обременений) на входящие в нее земельные участки"
(Зарегистрирован 03.05.2023 № 23-98)
Номер опубликования: 5801202305040004
Дата опубликования: 04.05.2023
Страница №13 из 28:
Увеличить