Официальное опубликование правовых актов
ОФИЦИАЛЬНОЕ ОПУБЛИКОВАНИЕ
Приказ Министерства градостроительства и архитектуры Пензенской области от 03.05.2023 № 23-100
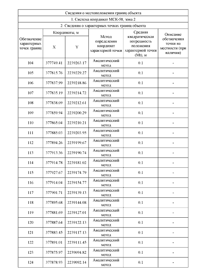
"О признании утратившим силу приказа Управления жилищно-коммунального хозяйства Пензенской области от 22.04.2013 № 1-353 "Об утверждении границ охранных зон существующего газопровода низкого и высокого давления, общая протяженность 2640 м, адрес объекта: Пензенская область, г. Пенза, Кордон Студеный и наложении ограничений (обременений) на входящие в них земельные участки" и об утверждении границ охранной зоны существующего газопровода н/д и в/д, протяженностью 2482 м, расположенного по адресу: Пензенская область, г. Пенза, ул. Кордон Студеный и наложении ограничений (обременений) на входящие в нее земельные участки"
(Зарегистрирован 03.05.2023 № 23-100)
Номер опубликования: 5801202305040001
Дата опубликования: 04.05.2023
Страница №10 из 21:
Увеличить