Приказ Министерства градостроительства и архитектуры Пензенской области от 13.04.2023 № 23-77
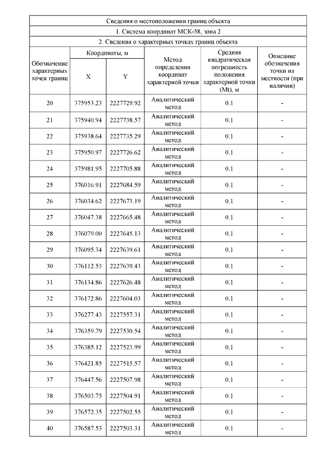
"О признании утратившим силу приказа Департамента градостроительства и архитектуры Пензенской области от 20.09.2019 № 96/ОД "О признании утратившим силу приказа Министерства строительства и жилищно-коммунального хозяйства Пензенской области от 12.11.2015 №624/ОД "Об утверждении границ охранных зон существующего газопровода высокого давления, протяженностью 1330 п.м, расположенного по адресу: Пензенская область Пензенский район, Мичуринский сельсовет, п. Мичуринский, г. Пенза, и наложении ограничений (обременений) на входящие в них земельные участки" и об утверждении границ охранной зоны газопровода высокого давления, расположенного по адресу: Пензенская область, г. Пенза, Первомайский район, ул. 40 лет Октября, 22 Г, и наложению ограничений (обременений) на входящие в нее земельные участки" и об утверждении границ охранной зоны существующего газопровода низкого давления, протяженностью 1084 м, расположенного по адресу: Пензенская область, г. Пенза, ул. 40 лет Октября, д. 22Г и наложении ограничений (обременений) на входящие в нее земельные участки"
(Зарегистрирован 13.04.2023 № 23-77)
"О признании утратившим силу приказа Департамента градостроительства и архитектуры Пензенской области от 20.09.2019 № 96/ОД "О признании утратившим силу приказа Министерства строительства и жилищно-коммунального хозяйства Пензенской области от 12.11.2015 №624/ОД "Об утверждении границ охранных зон существующего газопровода высокого давления, протяженностью 1330 п.м, расположенного по адресу: Пензенская область Пензенский район, Мичуринский сельсовет, п. Мичуринский, г. Пенза, и наложении ограничений (обременений) на входящие в них земельные участки" и об утверждении границ охранной зоны газопровода высокого давления, расположенного по адресу: Пензенская область, г. Пенза, Первомайский район, ул. 40 лет Октября, 22 Г, и наложению ограничений (обременений) на входящие в нее земельные участки" и об утверждении границ охранной зоны существующего газопровода низкого давления, протяженностью 1084 м, расположенного по адресу: Пензенская область, г. Пенза, ул. 40 лет Октября, д. 22Г и наложении ограничений (обременений) на входящие в нее земельные участки"
(Зарегистрирован 13.04.2023 № 23-77)
Номер опубликования: 5801202304140001
Дата опубликования:
14.04.2023
