Приказ Министерства градостроительства и архитектуры Пензенской области от 16.02.2023 № 23-19
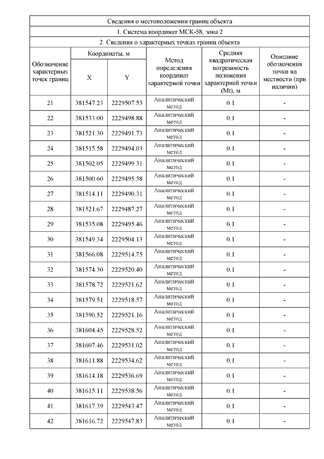
"О признании утратившим силу приказа Министерства строительства и жилищно-коммунального хозяйства Пензенской области от 18.12.2015 № 975/ОД "Об утверждении границ охранных зон существующего газопровода низкого давления, протяженностью 200 м, расположенного по адресу: Пензенская область, г. Пенза, и наложении ограничений (обременений) на входящие в них земельные участки" и об утверждении границ охранной зоны существующего газопровода низкого давления протяженностью 187 м, расположенного по адресу: Пензенская область, г. Пенза, Ленинский район, газопровод низкого давления ул. Станиславского - ул. Революционная от т.1 (точка врезки в существующий подземный газопровод низкого давления, D=219 в районе жилого дома №17 по ул. Саратовская) до т.2 (точка врезки в существующий подземный газопровод низкого давления, D=108 в районе жилого дома №32 по ул. Ново-Революционная) и наложении ограничений (обременений) на входящие в нее земельные участки"
(Зарегистрирован 16.02.2023 № 23-19)
"О признании утратившим силу приказа Министерства строительства и жилищно-коммунального хозяйства Пензенской области от 18.12.2015 № 975/ОД "Об утверждении границ охранных зон существующего газопровода низкого давления, протяженностью 200 м, расположенного по адресу: Пензенская область, г. Пенза, и наложении ограничений (обременений) на входящие в них земельные участки" и об утверждении границ охранной зоны существующего газопровода низкого давления протяженностью 187 м, расположенного по адресу: Пензенская область, г. Пенза, Ленинский район, газопровод низкого давления ул. Станиславского - ул. Революционная от т.1 (точка врезки в существующий подземный газопровод низкого давления, D=219 в районе жилого дома №17 по ул. Саратовская) до т.2 (точка врезки в существующий подземный газопровод низкого давления, D=108 в районе жилого дома №32 по ул. Ново-Революционная) и наложении ограничений (обременений) на входящие в нее земельные участки"
(Зарегистрирован 16.02.2023 № 23-19)
Номер опубликования: 5801202302170001
Дата опубликования:
17.02.2023
