Официальное опубликование правовых актов
ОФИЦИАЛЬНОЕ ОПУБЛИКОВАНИЕ
Приказ Министерства градостроительства и архитектуры Пензенской области от 26.12.2022 № 310/ОД
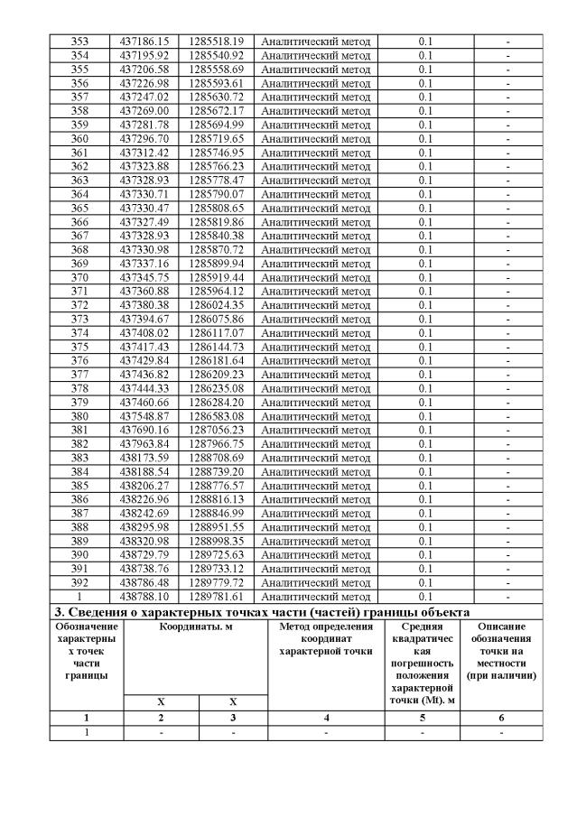
"Об утверждении границ охранной зоны существующего межпоселкового газопровода высокого давления, протяженностью 8916 м, расположенного по адресу: Пензенская область, р-н Вадинский, с. Ртищево, ул. Советская, ул. Заречная и наложении ограничений (обременений) на входящие в нее земельные участки"
Номер опубликования: 5801202212270012
Дата опубликования: 27.12.2022
Страница №12 из 38:
Увеличить