Официальное опубликование правовых актов
ОФИЦИАЛЬНОЕ ОПУБЛИКОВАНИЕ
Приказ Департамента Пензенской области по охране памятников истории и культуры от 11.07.2022 № 134-ОД
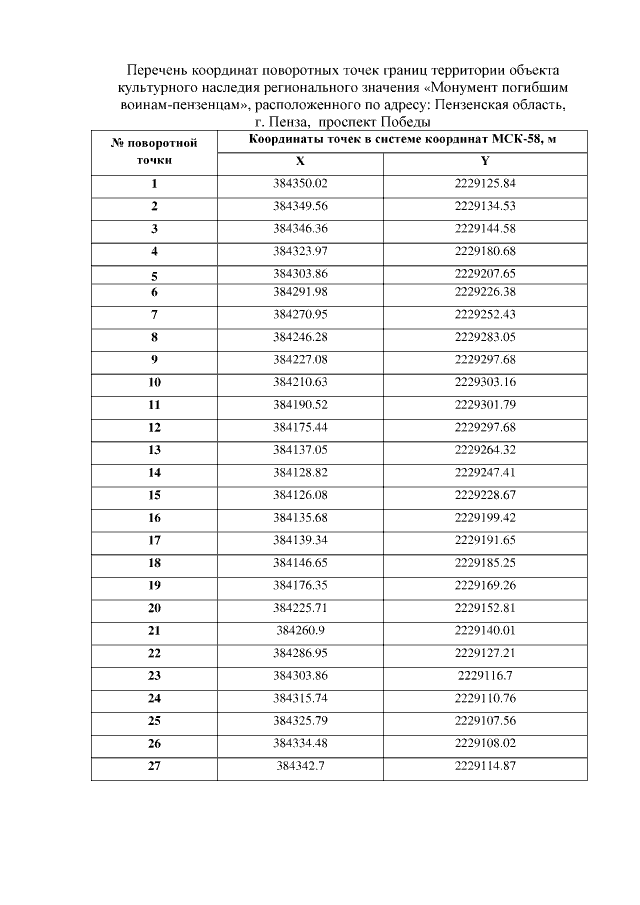
"Об утверждении границ и режима использования территории объекта культурного наследия регионального значения "Монумент погибшим воинам-пензенцам", расположенного по адресу: Пензенская область, г. Пенза, проспект Победы"
Номер опубликования: 5801202207110003
Дата опубликования: 11.07.2022
Страница №4 из 8:
Увеличить