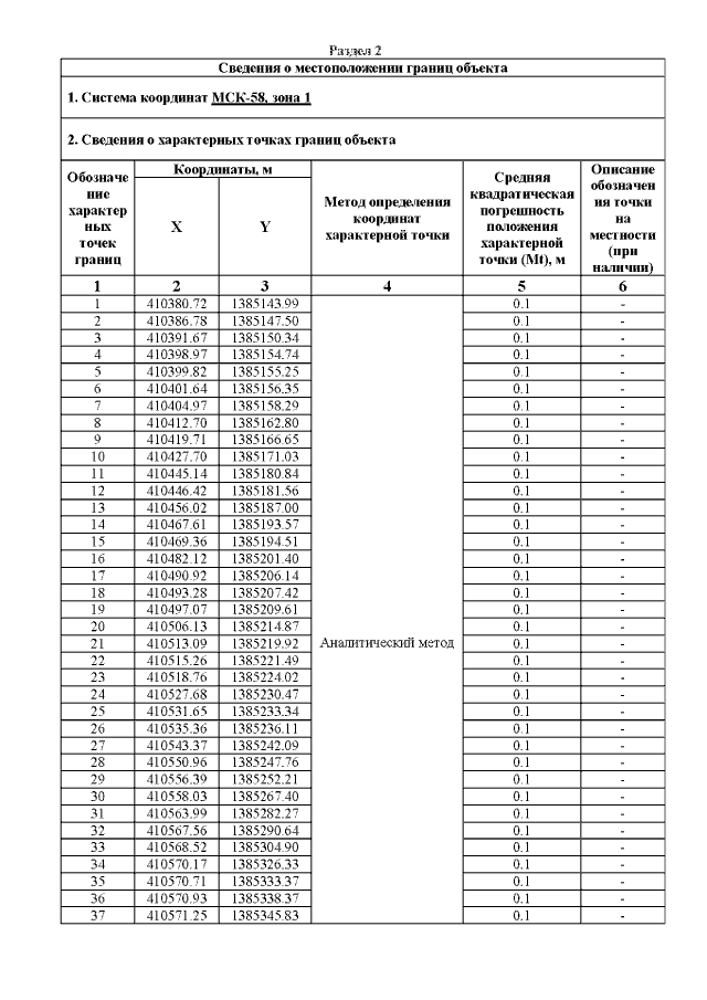
Приказ Министерства градостроительства и архитектуры Пензенской области от 01.06.2022 № 60/ОД
"Об утверждении границ охранной зоны существующего газопровода низкого давления протяженностью 345 м, расположенного по адресу: Пензенская область, Мокшанский район, с. Подгорное, ул. Луневка, д. 4 и наложении ограничений (обременений) на входящие в нее земельные участки"
"Об утверждении границ охранной зоны существующего газопровода низкого давления протяженностью 345 м, расположенного по адресу: Пензенская область, Мокшанский район, с. Подгорное, ул. Луневка, д. 4 и наложении ограничений (обременений) на входящие в нее земельные участки"
Номер опубликования: 5801202206030019
Дата опубликования:
03.06.2022
