Приказ Министерства градостроительства и архитектуры Пензенской области от 05.05.2022 № 34/ОД
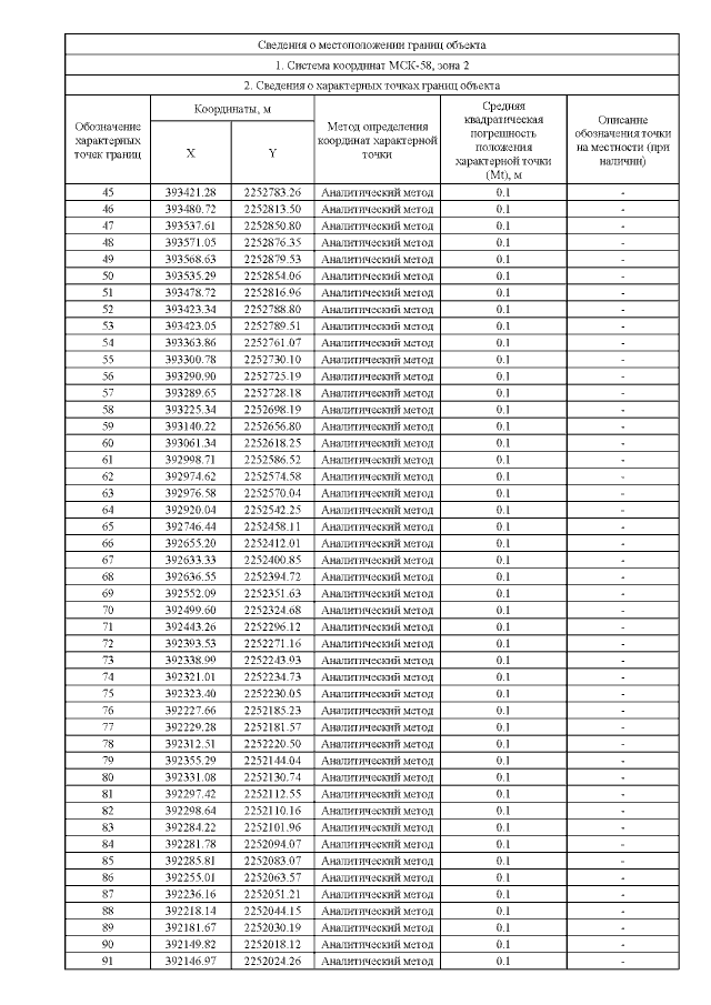
"Об утверждении границ охранной зоны существующего газопровода протяженностью 4415 м, расположенного по адресу: Пензенская область, Бессоновский район, д. Никольское, и наложении ограничений (обременений) на входящие в нее земельные участки"
"Об утверждении границ охранной зоны существующего газопровода протяженностью 4415 м, расположенного по адресу: Пензенская область, Бессоновский район, д. Никольское, и наложении ограничений (обременений) на входящие в нее земельные участки"
Номер опубликования: 5801202205060006
Дата опубликования:
06.05.2022
