Официальное опубликование правовых актов
ОФИЦИАЛЬНОЕ ОПУБЛИКОВАНИЕ
Приказ Департамента градостроительства и архитектуры Пензенской области от 27.03.2020 № 73/ОД
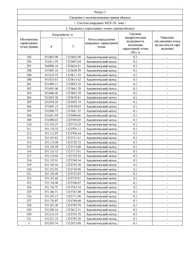
"О признании утратившим силу приказа Управления жилищно-коммунального хозяйства Пензенской области от 26.08.2013 № 1-583 "Об утверждении границ охранной зоны существующего газопровода, протяженность 2092,0 м, адрес объекта: Пензенская область, Белинский район, с. Бугровка, с. Пушанино и наложении ограничений (обременений) на входящие в них земельные участки" и об утверждении границ охранной зоны существующего газопровода протяженностью 2092,0 м, расположенного по адресу: Пензенская область, Белинский район, село Бугровка, от точки врезки примерно в 27 м по направлению на юг от дома №27 ул. Зеленая с. Пушанино до ГРП примерно в 19 м по направлению на север от дома №50 по ул. Полевая, с. Бугровка и от ГРП по ул. Полевая, и наложении ограничений (обременений) на входящие в нее земельные участки"
Номер опубликования: 5801202003310021
Дата опубликования: 31.03.2020
Страница №11 из 16:
Увеличить