Приказ Департамента градостроительства и архитектуры Пензенской области от 26.03.2020 № 68/ОД
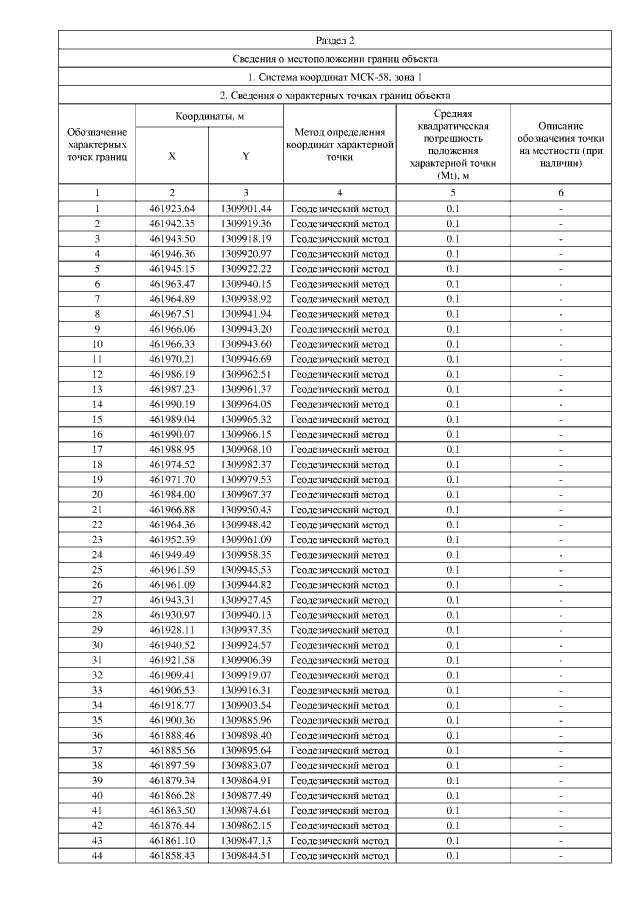
"Об утверждении границ охранной зоны существующего газопровода высокого и низкого давления протяженностью 322 м, расположенного по адресу: Пензенская область, Спасский район, г. Спасск, ул. Коробкова, и наложении ограничений (обременений) на входящие в нее земельные участки"
"Об утверждении границ охранной зоны существующего газопровода высокого и низкого давления протяженностью 322 м, расположенного по адресу: Пензенская область, Спасский район, г. Спасск, ул. Коробкова, и наложении ограничений (обременений) на входящие в нее земельные участки"
Номер опубликования: 5801202003310004
Дата опубликования:
31.03.2020
