Официальное опубликование правовых актов
ОФИЦИАЛЬНОЕ ОПУБЛИКОВАНИЕ
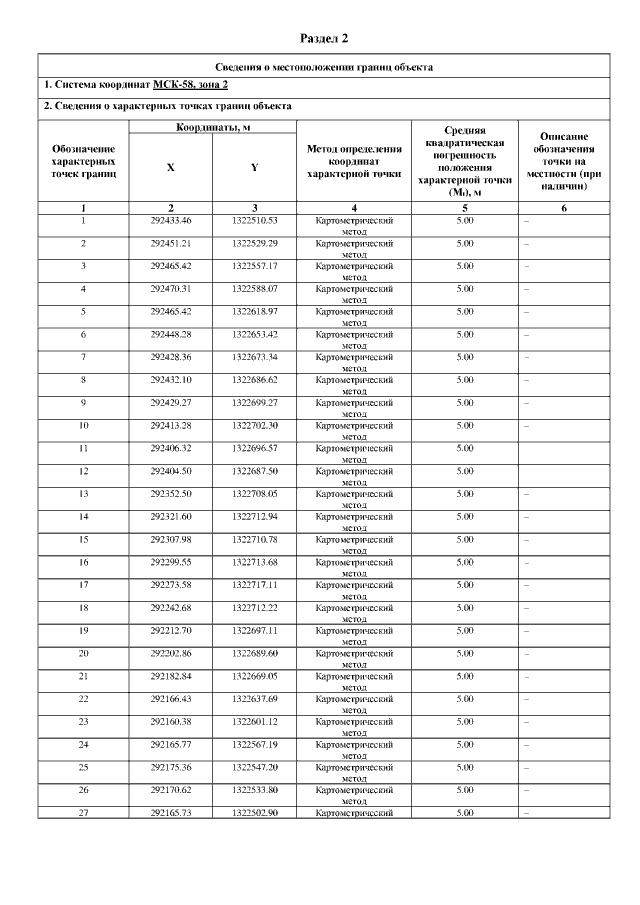
Приказ Комитета Пензенской области по охране памятников истории и культуры от 04.03.2020 № 70-ОД
"О внесении изменения в приказ Комитета Пензенской области по охране памятников истории и культуры от 14.01.2020 № 12-ОД"
Номер опубликования: 5801202003050014
Дата опубликования: 05.03.2020
Страница №3 из 6:
Увеличить