Официальное опубликование правовых актов
ОФИЦИАЛЬНОЕ ОПУБЛИКОВАНИЕ
Приказ Департамента градостроительства и архитектуры Пензенской области от 03.03.2020 № 53/ОД
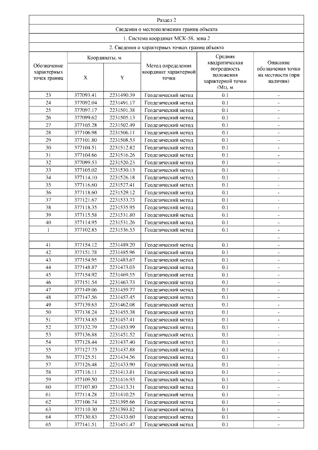
"О признании утратившим силу приказа Министерства строительства и жилищно-коммунального хозяйства Пензенской области от 12.11.2015 № 596/ОД "Об утверждении границ охранных зон существующего газопровода низкого давления протяженностью 303 п. м, расположенного по адресу: Пензенская область, г. Пенза, и наложении ограничений (обременений) на входящие в них земельные участки" и об утверждении границ охранной зоны газопровода низкого давления протяженностью 306 м, расположенного по адресу: Пензенская область, г. Пенза, ул. Красноярская, и наложении ограничений (обременений) на входящие в нее земельные участки"
Номер опубликования: 5801202003050006
Дата опубликования: 05.03.2020
Страница №5 из 7:
Увеличить