Официальное опубликование правовых актов
ОФИЦИАЛЬНОЕ ОПУБЛИКОВАНИЕ
Приказ Комитета Пензенской области по охране памятников истории и культуры от 17.02.2020 № 55-ОД
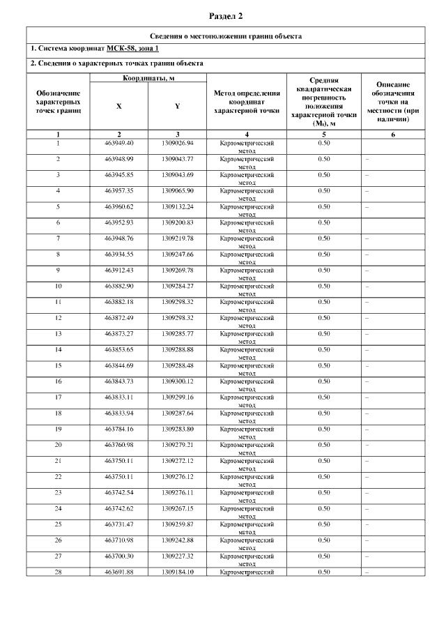
"О внесении изменения в приказ Комитета Пензенской области по охране памятников истории и культуры от 16.10.2018 № 78-ОД "Об утверждении графического описания местоположения границ защитной зоны объекта культурного наследия"
Номер опубликования: 5801202002190014
Дата опубликования: 19.02.2020
Страница №3 из 6:
Увеличить