Официальное опубликование правовых актов
ОФИЦИАЛЬНОЕ ОПУБЛИКОВАНИЕ
Приказ Комитета Пензенской области по охране памятников истории и культуры от 17.02.2020 № 43-ОД
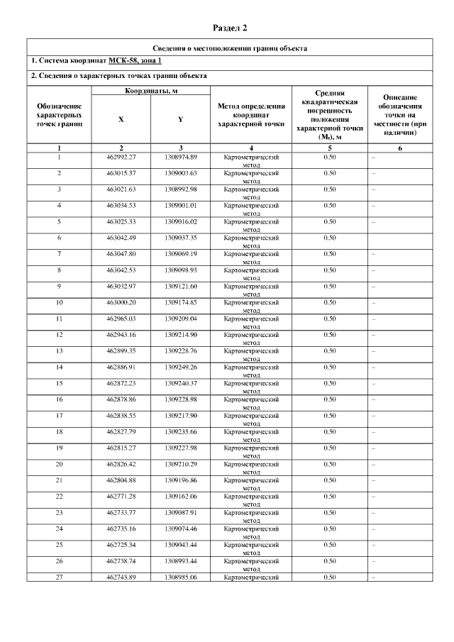
"О внесении изменения в приказ Комитета Пензенской области по охране памятников истории и культуры от 15.10.2018 № 72-ОД "Об утверждении графического описания местоположения границ защитной зоны объекта культурного наследия"
Номер опубликования: 5801202002190011
Дата опубликования: 19.02.2020
Страница №3 из 6:
Увеличить