Официальное опубликование правовых актов
ОФИЦИАЛЬНОЕ ОПУБЛИКОВАНИЕ
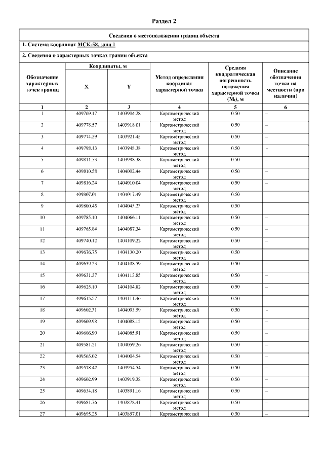
Приказ Комитета Пензенской области по охране памятников истории и культуры от 27.01.2020 № 35-ОД
"Об утверждении графического описания местоположения границ защитной зоны объекта культурного наследия"
Номер опубликования: 5801202001270002
Дата опубликования: 27.01.2020
Страница №3 из 5:
Увеличить