Официальное опубликование правовых актов
ОФИЦИАЛЬНОЕ ОПУБЛИКОВАНИЕ
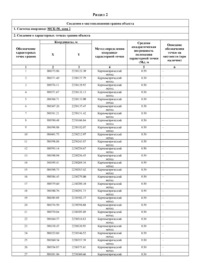
Приказ Комитета Пензенской области по охране памятников истории и культуры от 14.01.2020 № 8-ОД
"Об утверждении графического описания местоположения границ защитной зоны объекта культурного наследия"
Номер опубликования: 5801202001150006
Дата опубликования: 15.01.2020
Страница №3 из 7:
Увеличить